插上科学的翅膀飞作文

插上科学的翅膀飞作文1docx3页
图片尺寸792x1120
插上科学的翅膀飞作文500字5篇
图片尺寸920x1302
插上科学的翅膀飞六年级作文范例5篇
图片尺寸920x1302
六年级插上科学翅膀飞作文docx15页
图片尺寸886x1147
六下第五单元同步作文-插上科学的翅膀91.
图片尺寸1080x1528
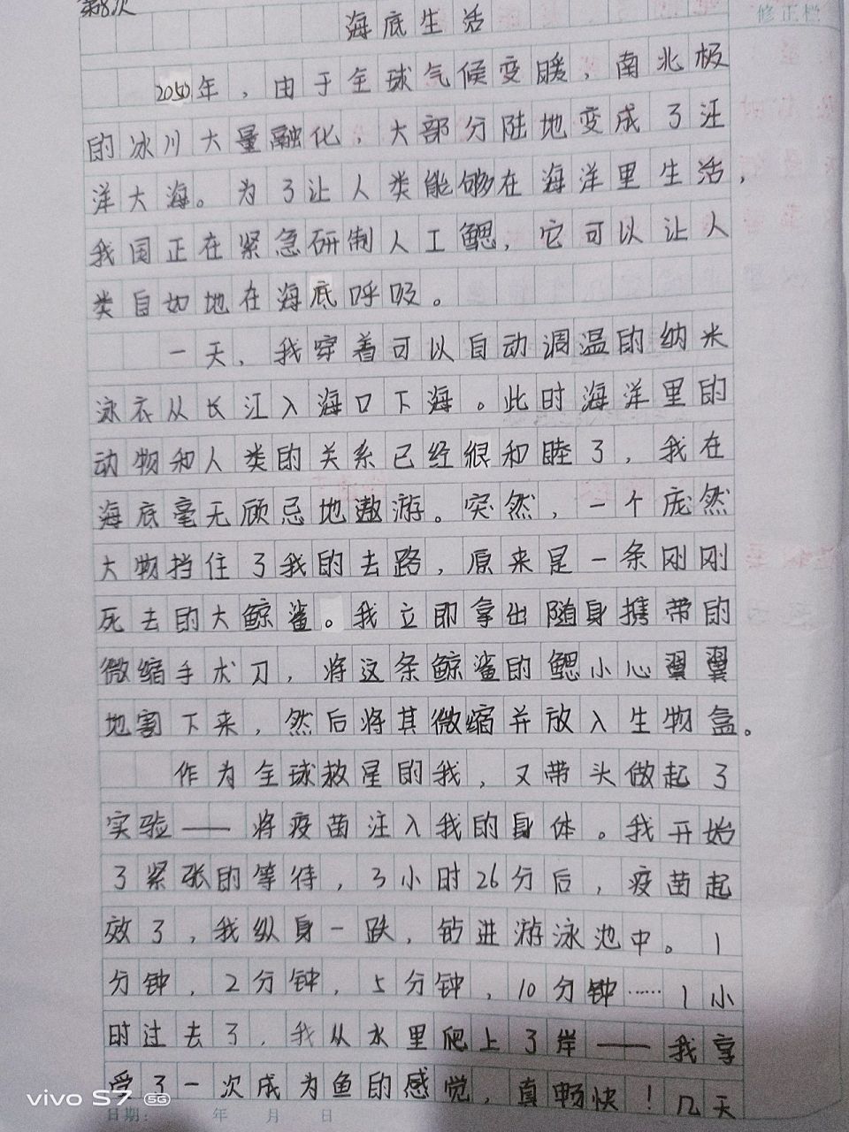
六年级下册语文第五单元《插上插上科学的翅膀飞》作文
图片尺寸960x1280
插上科学的翅膀飞作文15篇docx17页
图片尺寸792x1120
插上科学的翅膀飞优秀作文精选4篇.doc 6页
图片尺寸993x1404
插上科学的翅膀飞六年级作文500字汇总5篇
图片尺寸920x1302
插上科学翅膀飞小学科幻作文.docx 5页
图片尺寸792x1120
六年级科幻作文插上科学的翅膀飞
图片尺寸920x1302
六年级插上科学的翅膀飞单元作文
图片尺寸920x1302
六年级插上科学的翅膀飞作文400字七篇
图片尺寸920x1302
插上科学的翅膀飞科幻作文docx8页
图片尺寸792x1119
插上科学的翅膀飞作文600字5篇
图片尺寸920x1302
插上科学的翅膀飞六年级作文
图片尺寸920x1302
插上科学的翅膀飞优秀作文450字
图片尺寸920x1191
插上科学的翅膀飞作文400字以上范文五篇
图片尺寸920x1302
插上科学翅膀飞小学科幻作文.docx 5页
图片尺寸792x1120
插上科学翅膀飞科幻主题作文
图片尺寸920x1302