数学无穷

5.无穷小与无穷大ppt
图片尺寸1080x810
数学 无穷级数
图片尺寸780x1052
高等数学 无穷级数 这个是问什么啊?
图片尺寸469x230
在数学,无穷(或称无限)更多地是一个想法或概念,而非一个数.
图片尺寸660x372
数学与艺术--无穷的碎片
图片尺寸600x860
有限的自然宇宙和无穷的数学宇宙
图片尺寸720x480
趣味无穷的数学乐园小学六年级 杨传冈 数学 书籍
图片尺寸600x888
数学妙无穷(炫酷好玩的数的知识)/厉害坏了的科学 官方正版 博库网
图片尺寸600x600
有关π的无穷的数学魅力和它的妙用
图片尺寸660x475
数学无穷数级
图片尺寸414x205
介于两个无穷大量之间的无穷大量 ← 《微积分》(包括数学分析,微分
图片尺寸641x435
大学数学高等数学等价无穷小公式
图片尺寸1080x1080
高等数学无穷级数问题
图片尺寸485x184
无穷级数求和常用公式(数学中无穷级数的奥秘)
图片尺寸452x230
在数学,无穷(或称无限)更多地是一个想法或概念,而非一个数.
图片尺寸690x298
数学知道一切的答案从一到无穷大
图片尺寸270x270
文科高等数学之高阶无穷小问题
图片尺寸1920x2560
简约矢量绿色无穷大数学符号图标元素
图片尺寸780x780
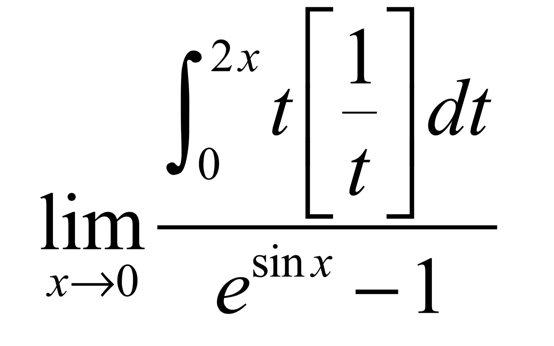
【数学分析考研真题选讲】取整符号的不等式,夹逼准则和同阶无穷小的
图片尺寸1864x1165
高等数学 无穷级数
图片尺寸1352x862