旋度

3,散度和旋度的区别 f 0, f f 0.
图片尺寸1080x810
电磁场与电磁波4_矢量与场论3-旋度
图片尺寸1080x810
旋转壁纸1280x720分辨率查看
图片尺寸3840x2160
从流体旋转出发:用直觉思维推导出二维下的旋度公式
图片尺寸640x537
3旋转矢量法ppt
图片尺寸1080x810
旋转角度图片
图片尺寸375x300
梯度 散度 旋度ppt
图片尺寸1080x810
散度,旋度,梯度释义(图解版)
图片尺寸1000x1340
动画--旋转图案的制作方法
图片尺寸457x460
螺旋漩涡旋转抽象设计元素旋转母题矢量图示
图片尺寸700x700
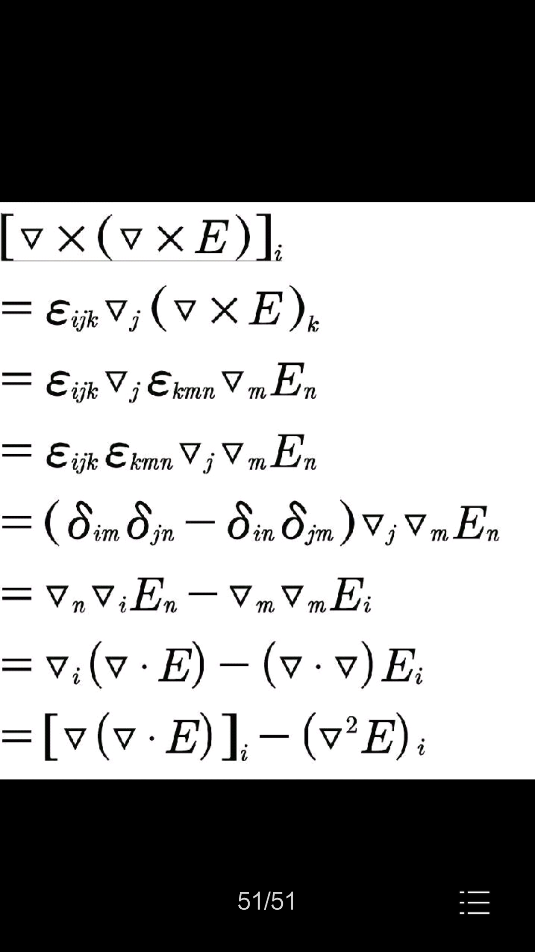
矢量的旋度的旋度公式证明电磁波里面的
图片尺寸1080x1920
旋度
图片尺寸200x200
旋转线条矢量素材
图片尺寸960x960
旋转图片
图片尺寸360x360
javascript图片旋转效果实现方法详解
图片尺寸410x412
看的见的音乐——processing生成艺术
图片尺寸400x225
旋度
图片尺寸375x360
旋转矢量法
图片尺寸504x367
关于旋度公式的推导方法
图片尺寸768x451
旋转圆形花纹
图片尺寸1000x1046