无理式

几个优美的无理不等式
图片尺寸1469x2012
在解有关无理不等式和方程时,如果我们直接将 无理式有理化后求解则
图片尺寸1080x810
无理数的符号
图片尺寸640x341
无理不等式的解法ppt课件ppt
图片尺寸800x600
无理式不开心 - 妻奴们,老婆大人经常不开心,你们都怎么哄的_不开心
图片尺寸440x440
无理式
图片尺寸300x210
对数式出现未知数的代数式是无理式吗?
图片尺寸298x278
根号下含有未知数的方程是无理方程,又叫根式方程.
图片尺寸500x276
有理式 无理式 整式 分式 的区别和联系
图片尺寸599x294
【有理式】 只含有加,减,乘,除和乘方运算的代数式叫有理式 【无理式
图片尺寸944x553
简单无理函数的积分 被积函数为简单根式的有理式 , 可通过根式代
图片尺寸1080x810
2.1.1 第1课时 根式 课件(人教a版必修1)ppt
图片尺寸1080x674
追问 怎么知道要乘以那一串才能算呢 追答 见了无理式
图片尺寸1600x900
求导数谢谢了
图片尺寸744x992
初中数学知识清单之代数式的认识
图片尺寸640x204
擦干眼泪,在云时代寻找属于你的小家
图片尺寸700x700
有理式;2.整式;3.多项式;4.单项式;5.分式;6.无理式.
图片尺寸496x702
无理数包括什么数
图片尺寸640x341
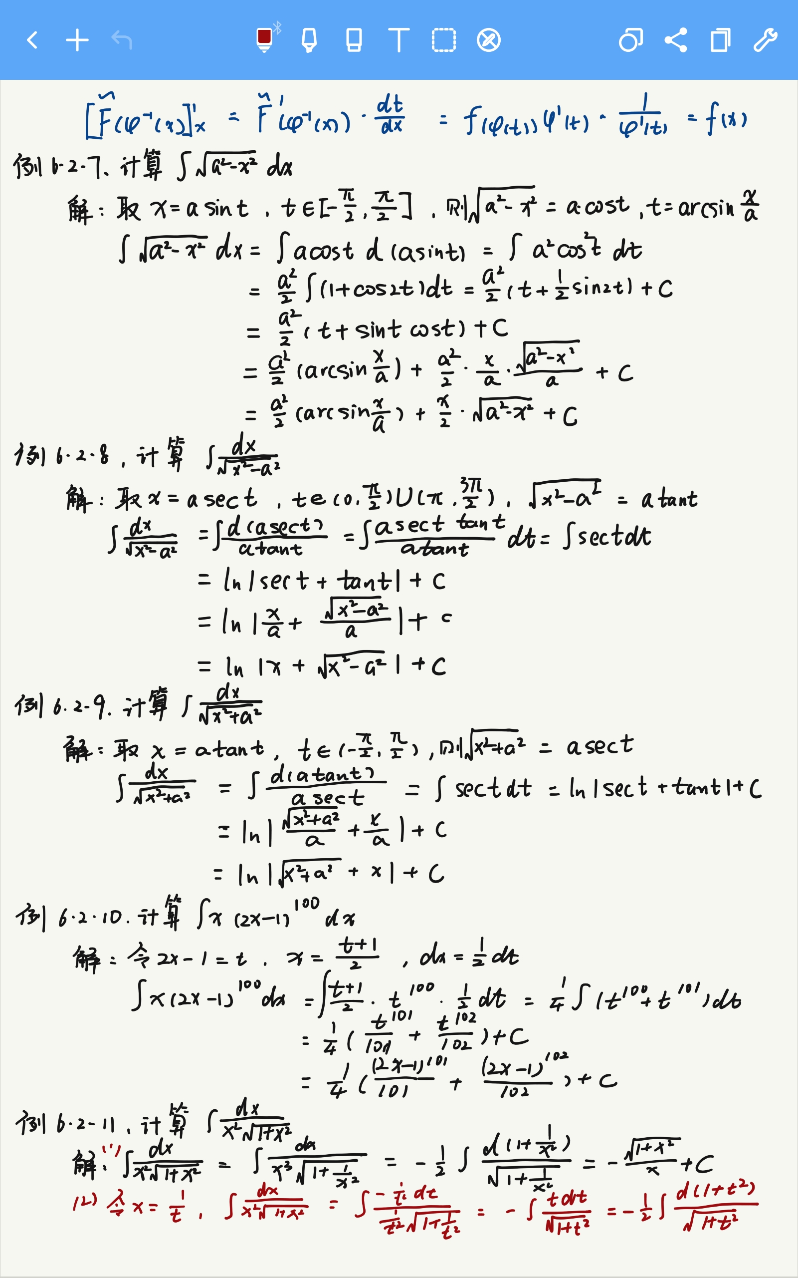
法,有理函数的不定积分,三角函数的不定积分,无理式的不定积分(理解)
图片尺寸1600x2560
7分之23和根3 1哪个是无理数啊?为什么?
图片尺寸600x450