曲率公式

曲率的计算公式 具有二阶导数, = 设曲线 y= f ( x ) , f ( x ) 具有
图片尺寸1080x810
曲率计算公式
图片尺寸719x439
高斯曲率的计算公式
图片尺寸920x1302
在高数第六版中,参数方程确定的函数计算曲率的公式不懂
图片尺寸450x250
渐近线 曲率 麦克劳林公式 定积分应用
图片尺寸1080x556
曲率半径计算公式 mr. he c. s. 2012 年 10 月 10 日 1.
图片尺寸496x702
曲率公式是什么_初三网
图片尺寸737x400
空间曲线曲率计算公式及推导
图片尺寸920x1302
高等数学弧微分与曲率了解一下
图片尺寸720x1501
9曲线的曲率ppt
图片尺寸1080x810
曲率的概念及计算公式
图片尺寸800x1132
主曲率,高斯曲率,平均曲率的物理意义及公式
图片尺寸692x399
曲率:
图片尺寸707x467
这是数学,跟物理基本不搭边,物理里用到的主要是已知曲率,算加速度
图片尺寸450x361
viviani曲线的曲率,挠率及frenet公式
图片尺寸1559x2096
牛顿环测曲率半径公式
图片尺寸920x1302
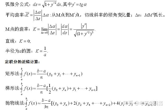
2019考研数学高数基础复习曲率公式
图片尺寸900x358
高等数学3_7曲率ppt
图片尺寸1080x810
平面曲线的曲率
图片尺寸1162x816
7 曲率
图片尺寸1080x810