有理式

三角函数有理式积分
图片尺寸800x1132
有理数加减乘除运算公式.doc
图片尺寸792x1120
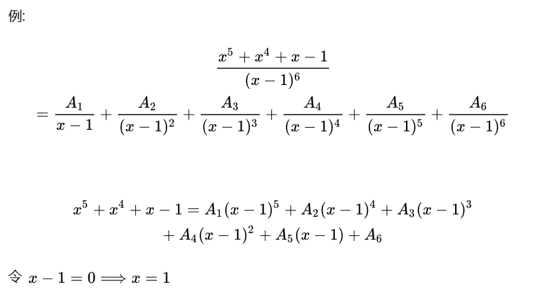
数学有理分式的拆解技巧
图片尺寸477x604
数学有理分式的拆解技巧
图片尺寸772x426
考研数学06有理式的不定积分
图片尺寸1080x1439
有理式 无理式 整式 分式 的区别和联系
图片尺寸599x294
高等数学公式费了好大的劲1.doc
图片尺寸993x1404
用多种方法求三角有理式的积分
图片尺寸500x297
有关有理式积分的一些方法总结1
图片尺寸945x433
整式和分式 统称有理式.
图片尺寸1080x810
1.基本积分公式2.三角函数的有理式积分公式
图片尺寸789x498
三角函数的有理式积分
图片尺寸931x1103
高等数学,求三角函数有理式不定积分
图片尺寸334x531
高等数学有理式的不定积分方法
图片尺寸800x600
3-3有理式的不定积分与有理化方法
图片尺寸1080x810
高等数学有理式的不定积分方法ppt
图片尺寸1080x810
高等数学求三角函数有理式的不定积分
图片尺寸780x1040
有理式的不定积分与有理化方法
图片尺寸800x600
高等数学,求三角函数有理式不定积分
图片尺寸464x714
三角函数的有理式积分
图片尺寸701x496