松香结构

松香
图片尺寸300x300
松香
图片尺寸267x132
松香-麦克林试剂网-cas号查询,化学试剂,生物试剂,分析试剂,实验试剂
图片尺寸296x292
松香
图片尺寸600x600
松香
图片尺寸450x427
马来松香
图片尺寸412x314
松香树脂结构式
图片尺寸605x375
松香树脂
图片尺寸368x213
松香酸结构式
图片尺寸283x293
松香
图片尺寸250x119
松香的简介结构储存
图片尺寸374x293
分子具有稠环刚性结构,且含有可聚合双键的大分子,属于松香基改性树脂
图片尺寸566x503
石灰松香价格
图片尺寸403x231
歧化松香钾皂结构式
图片尺寸605x375
脂松香结构式图片|8050-09-7结构式图片
图片尺寸562x409
松香结构式图片|8050-09-7结构式图片
图片尺寸450x450
二氢松香酸结构式
图片尺寸249x260
68334-35-0 松香酸钙 结构式图片
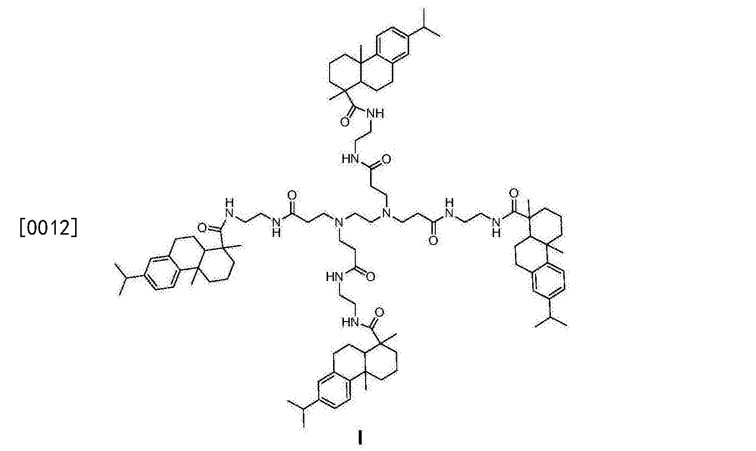
图片尺寸250x250![[0010] 本发明要解决的技术问题为提供一种结构新颖的松香衍生物,得到](https://imgs.wantubizhi.com/img/ADDA3C5D760C6828B77B505A29D43E83D501D5E5F48473140A0F587F35DEAB0BCFFA7FB8E785272A3D9FBEC0B18D8A71EE1A88E79777C02230F15A309062A3D44072BB5B02C9D5C39C3CE41CF344BBA892A830AA4FC75AB5407049666A7FF5A9)
[0010] 本发明要解决的技术问题为提供一种结构新颖的松香衍生物,得到
图片尺寸1530x913
松香的化学反应和应用
图片尺寸296x199