极差公式

极差公式是什么 - 百度文库
图片尺寸496x702
关于极差法,求大神指教-注册计量师 - gfjl.org
图片尺寸394x487
极差特点,移动极差,极差计算公式
图片尺寸587x364
极差公式是什么 - 百度文库
图片尺寸502x649
方差公式和极差公式怎么算啊
图片尺寸640x480
极差法和贝塞尔公式的比较
图片尺寸920x1302
标准偏差与相对标准偏差公式(汇编版)1.doc
图片尺寸993x1404
极差公式是什么 - 百度文库
图片尺寸496x702
什么是极差法
图片尺寸450x156
误差公式总结
图片尺寸589x599
r&r均值极差法-手工计算
图片尺寸1080x810
质量管理常用技术与工具ppt
图片尺寸1080x810
lim sinx^x(x趋近于0 ) 求极限
图片尺寸567x831
极差公式是什么 - 百度文库
图片尺寸496x702
利用无穷小的性质,求极限
图片尺寸589x800
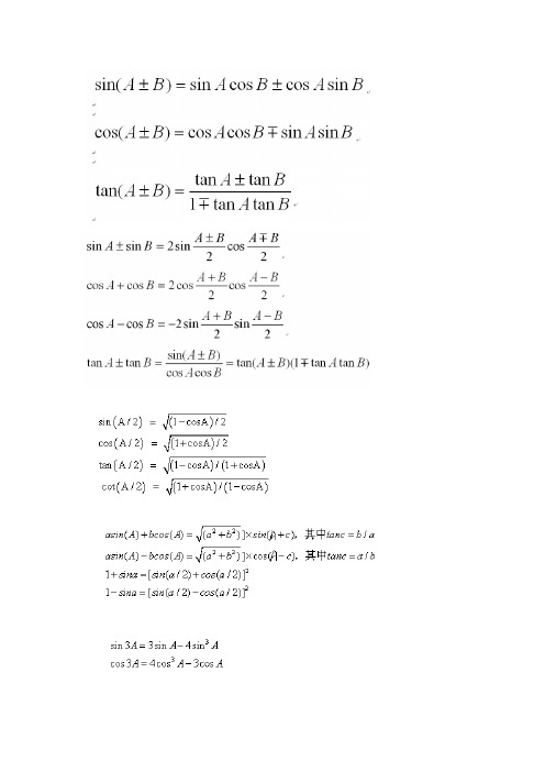
解题方法是: a,运用重要极限 sinx/x = 1; b,余弦倍角公式
图片尺寸2478x2490![5]/[1-cos(x)^0.5] 其中x趋向于0正](https://imgs.wantubizhi.com/img/A1A61BAA66193547F3A6DD7D8EE527E9A171D6AB91F4EF481EDA374D848FB7CB939E5EC2A77C3253D9AC331B743298858F6EBAFC4BCD480CC696704D30FCA1AD9D8A9DCBFE3BBC4065BD91B240D50D742E4AD8165D57C1778B9B56605BC825AD)
5]/[1-cos(x)^0.5] 其中x趋向于0正
图片尺寸679x1214
极差 方差 标准差2ppt
图片尺寸1080x810
方差,极差标准差,怎么求?
图片尺寸828x514
解答极差为 100-50=50. 平均数为 . 方差为 . .标
图片尺寸496x702