柯西符号

曼妙的笔画,婀娜的身姿无论是拉格朗日定理还是柯西中值定理都出现了
图片尺寸286x190
em>柯西 /em> em>corsica /em>
图片尺寸950x399
帮忙解答一下这一题的过程帮忙画一下柯西中值定理的图像,画一下它的
图片尺寸780x402
线性代数 柯西施瓦茨emmmm 这个符号是啥意思
图片尺寸744x992
柯西中值定理第廿六回高数微积分
图片尺寸207x259
柯西第二定理的证明
图片尺寸960x1280
等级: 8 已帮助: 212人 cauchy principal value 这是柯西主值的符
图片尺寸532x489
用柯西中值定理证明!
图片尺寸677x906
柯西不等式用数学符号表示是什么?
图片尺寸424x260
4-2柯西中值定理与洛必达法则
图片尺寸1080x810
211平面上的柯西不等式的代数和向量形式课件22张ppt
图片尺寸720x540
展开全部 柯西中值定理 放缩法 向左转 向右转
图片尺寸816x459
正态分布的温和世界少见的东西,在柯西分布的疯狂世界里却非常普遍.
图片尺寸539x340
沿顺时针积分多一个负号,跟分母那个符号抵消了lim_{t oinfty}int
图片尺寸1278x804
法国大革命的数学骑士柯西
图片尺寸666x182
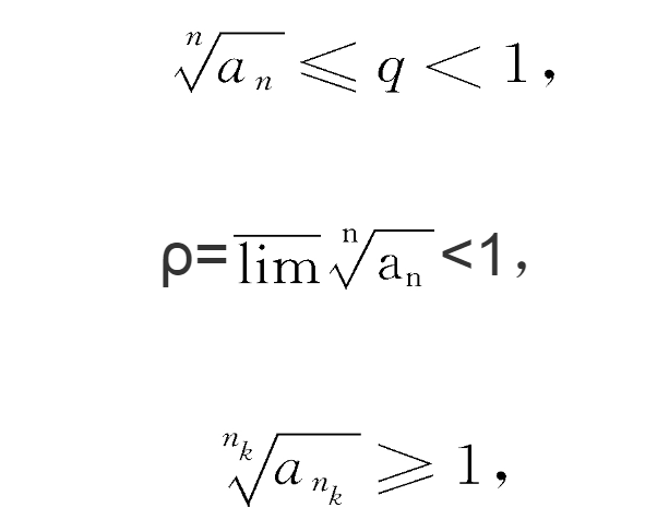
柯西判别法
图片尺寸613x486
7815可预定 〔手绘〕a4 《 柯西高达 》kuma绘 73『绘制于
图片尺寸960x1280
二阶行列式
图片尺寸643x457
数学大师柯西的鲑鱼人生
图片尺寸538x348
柯西发现了三角函数中隐藏的更为深层次的奥秘
图片尺寸640x198