标准模型的拉格朗日量

标准模型的拉格朗日量
图片尺寸600x729
标准模型的拉格朗日量
图片尺寸600x1056
自然是标准模型的拉格朗日量了.
图片尺寸720x942
标准模型的拉格朗日量(附latex公式)
图片尺寸3582x1638
感受到 拉格朗日量标准模型的压迫感
图片尺寸1728x1080
拉格朗日点计算公式
图片尺寸920x1301
标准模型的拉格朗日形式
图片尺寸1000x1677
标准模型的拉格朗日形式
图片尺寸554x367
标准模型1.jpeg
图片尺寸1362x794
第一节 拉格朗日中值定理ppt
图片尺寸1080x810
拉格朗日量哈密顿量及变分原理
图片尺寸388x480
3 运动规划实战教程
图片尺寸1292x472
sk静态混合器中液液两相流的标准欧拉模型和拉格朗日模型
图片尺寸1419x2010
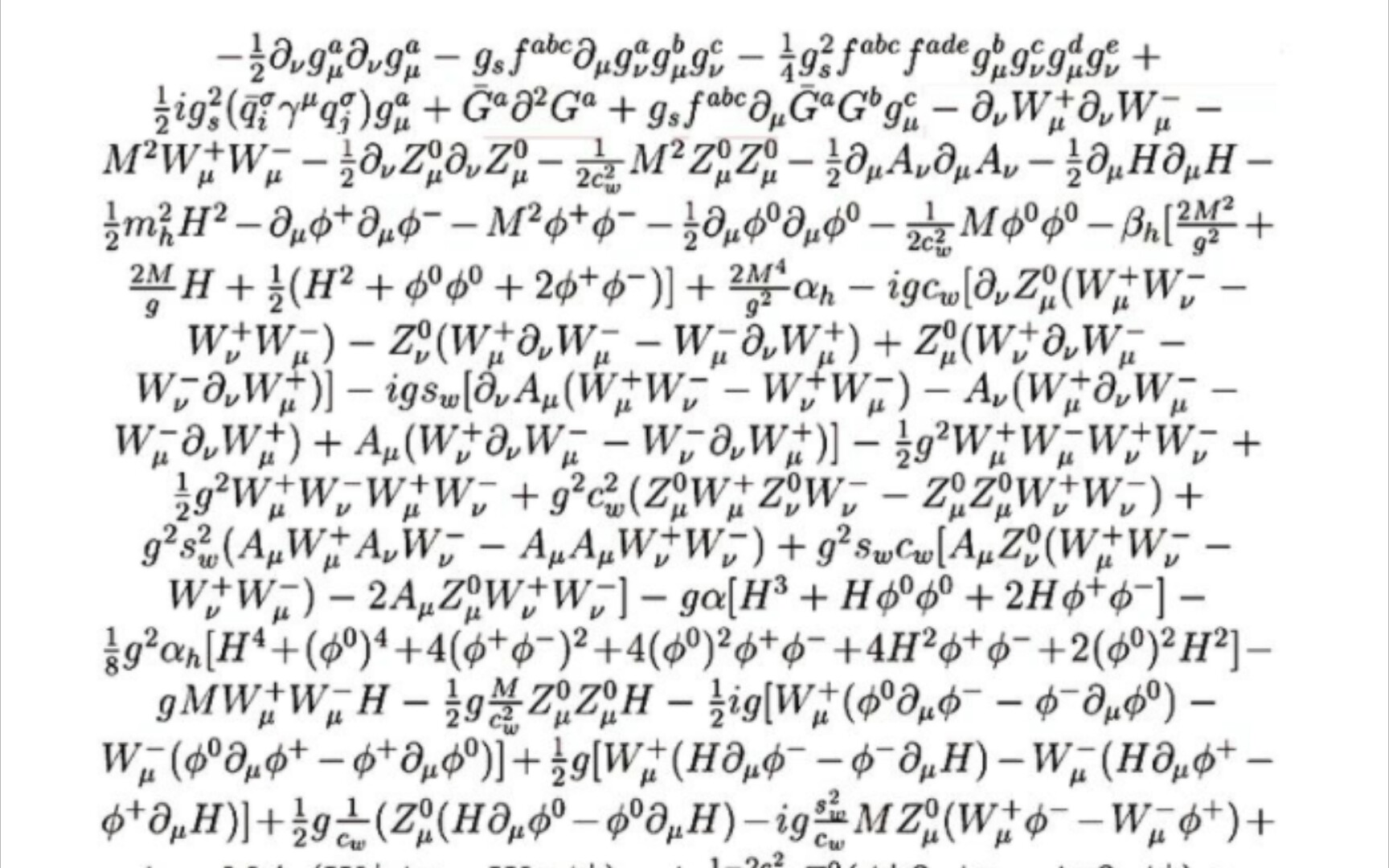
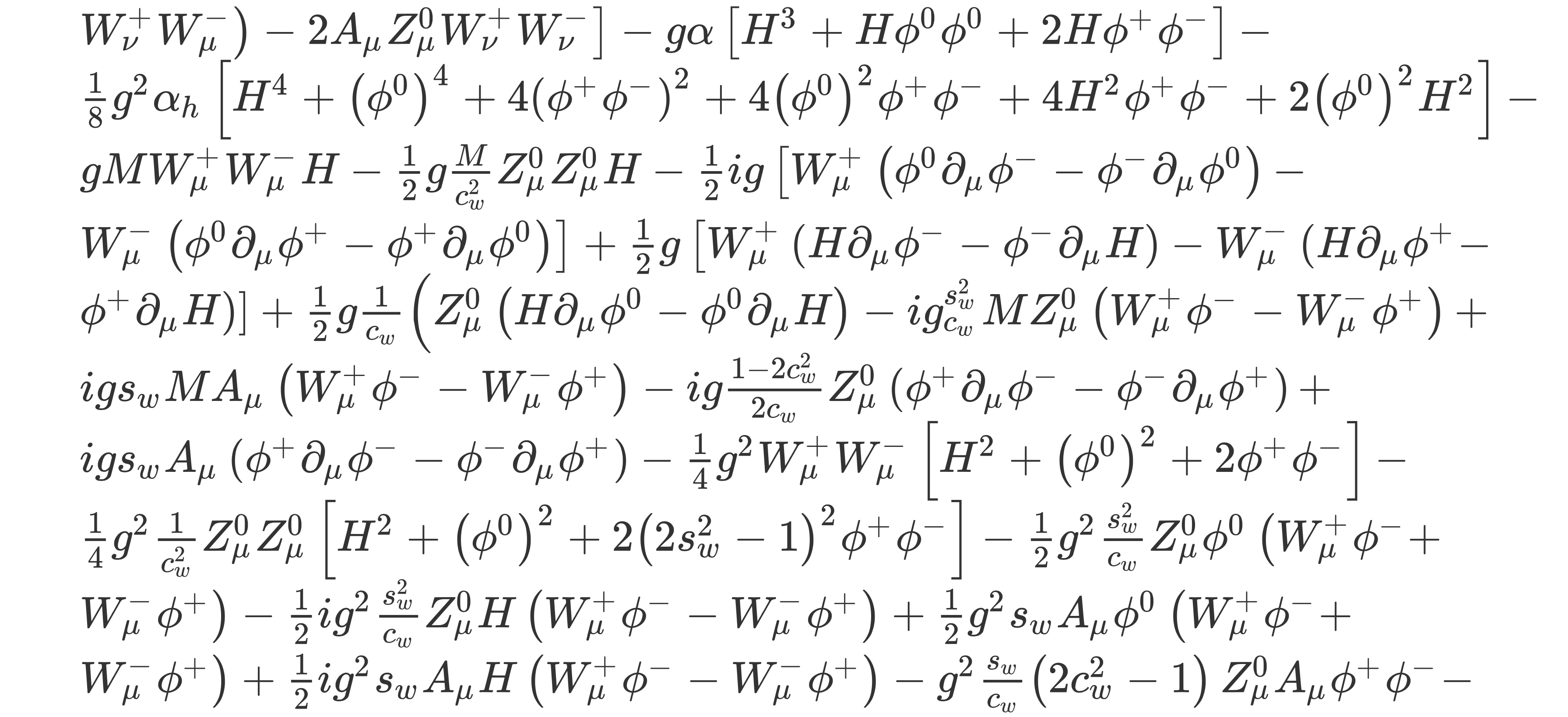
数->群环域这个东西叫做粒子物理标准模型的lagrange量 ,或者说粒子
图片尺寸564x945
引言以前我们讨论的概率模型都是只含观测变量(observable variable)
图片尺寸771x260
games201-拉格朗日视角和欧拉视角
图片尺寸1358x666
流体模拟(拉格朗日法,粒子法)
图片尺寸1416x748
拉格朗日中值定理
图片尺寸1003x483
支持向量机算法svmsupportvectormachine机器学习算法初识
图片尺寸1018x969
3 运动规划实战教程
图片尺寸964x398