核酸代谢

第十四章 核苷酸代谢
图片尺寸860x645
嘌呤核苷酸和嘧啶核苷酸如何合成
图片尺寸1069x1179
核酸代谢
图片尺寸1212x845
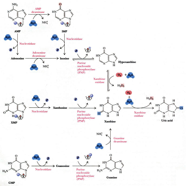
核苷酸的分解代谢
图片尺寸779x658
生物化学 第八章 核苷酸代谢 核酸的消化
图片尺寸798x406
生物化学课件(6)核酸代谢appt
图片尺寸1080x810
第九章 核苷酸代谢 食物核蛋白 胃酸 蛋白质 核酸 核酸酶 进入磷酸戊
图片尺寸1080x810
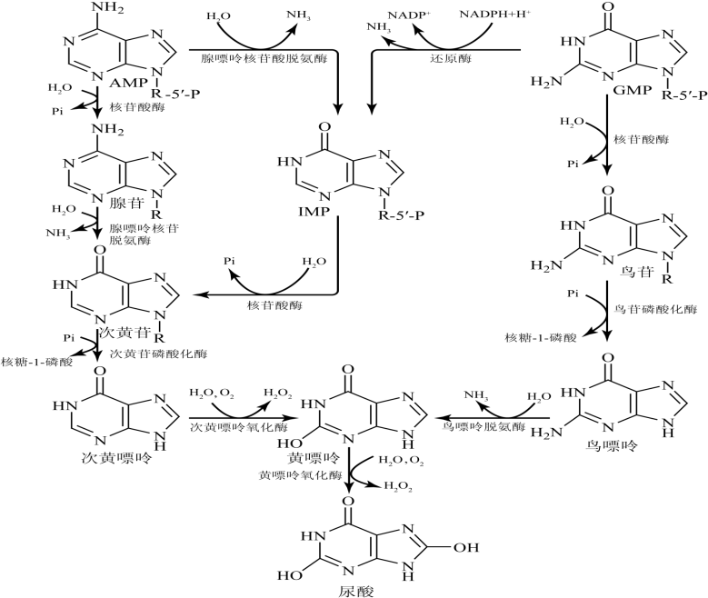
核酸的分解代谢
图片尺寸1440x1442
第九章 核酸降解和核苷酸代谢ppt
图片尺寸1080x810
第九篇 章 核苷酸代谢 生物化学课件.ppt
图片尺寸1152x864
所有分类 高等教育 医学 核苷酸代谢 临床医学 概 述 一,核酸
图片尺寸1080x810
核苷酸代谢
图片尺寸860x645
核酸代谢
图片尺寸1166x795
核酸与碱基的分解代谢
图片尺寸800x498
生物化学-核苷酸代谢
图片尺寸1080x810
第11章 核酸代谢ppt
图片尺寸1080x810
生物化学课件(6)核酸代谢appt
图片尺寸1080x810
核苷酸代谢ppt
图片尺寸1080x810
生物化学-核苷酸代谢ppt
图片尺寸1080x810
2,三羧酸循环是糖,脂,蛋白质,甚至核酸代谢,联络与转化的枢纽.
图片尺寸720x580