根号怎么算

数学初二根号
图片尺寸768x1024
根号怎么算,根号49是7,那如果根号27呢
图片尺寸744x992
认真算点儿没用的根号3如何笔算
图片尺寸2048x1283
立方根计算 3次根号216 3次根号8 3次根号8-(-根号64) 3次根
图片尺寸480x640
根号的运算法则
图片尺寸640x344
计算(根号3-3又根号12-根号6)x2又根号3 5又根号2
图片尺寸540x960
根号3等于多少怎么算根号3怎么手算开方
图片尺寸640x853
像根号三,根号五,根号七,这样简单的开根号怎么手算
图片尺寸624x832
这一步有点混乱,怎么算出的根号160呀?要详细的手写过程图,谢谢
图片尺寸691x921
根号怎么计算根号怎么计算公式
图片尺寸237x275
列如根号2×根号3等于多少?
图片尺寸864x1152
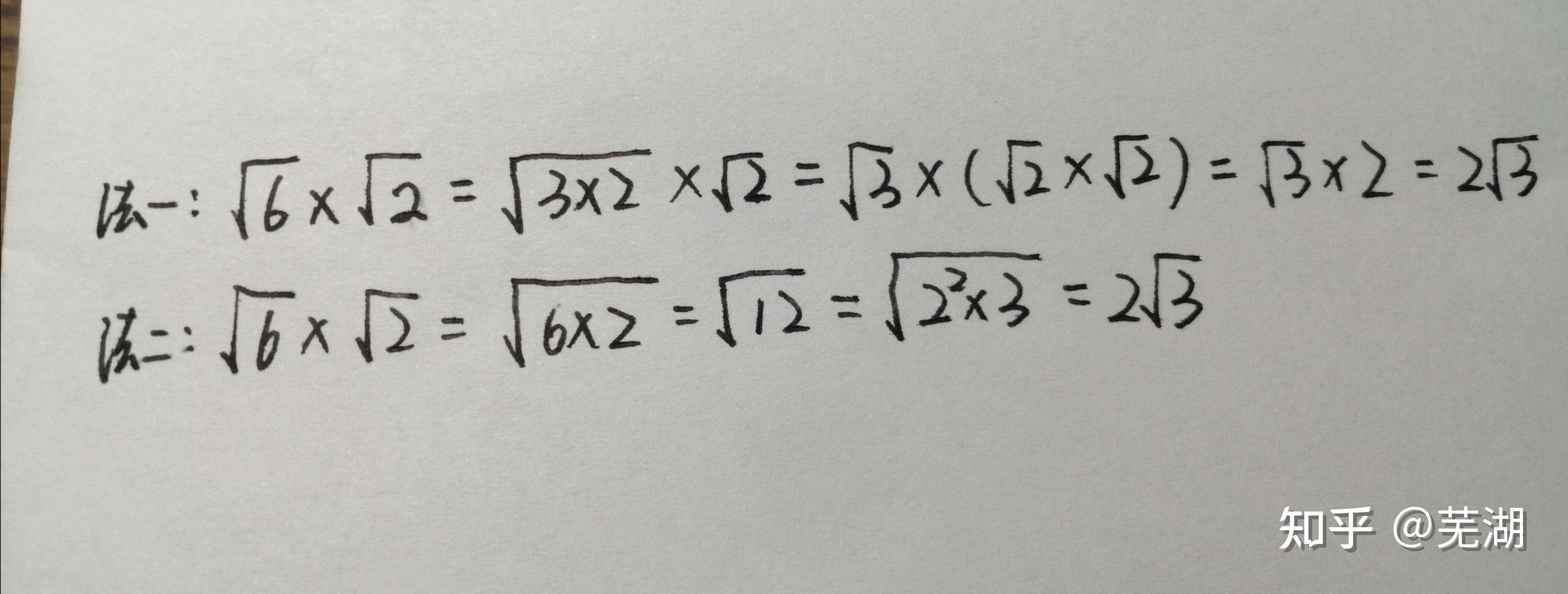
根号2 乘根号 6 怎么化成根号 3 乘 2? - 知乎
图片尺寸3377x1280
1,根号计算公式
图片尺寸592x1052
根号计算,八年级的,怎么做?
图片尺寸1032x581
根号2怎么求出来的
图片尺寸2448x3264
求此二次根号方程的详细化简计算.
图片尺寸780x1052
这种根号怎么算几年级的课程
图片尺寸1536x2048
(根号2-1)-2次方 怎么算
图片尺寸2592x1552
比方说三次根号72乘三次根号9
图片尺寸780x1052
3根号40分之根号2等于多少,怎么算?过程详细点
图片尺寸278x296