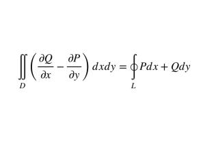
格林公式

高数|格林公式的应用
图片尺寸600x868
大学高等数学上册142格林公式
图片尺寸920x690
3 格林公式ppt
图片尺寸1080x810
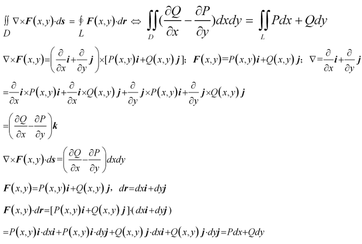
多变量微积分笔记16格林公式
图片尺寸459x544
一拳超人!格林公式创始人! - 抖音
图片尺寸1440x1920
格林公式及曲线积分与路径无关的条件
图片尺寸920x1302
数学论文格林公式
图片尺寸920x1302
如何通俗地理解格林公式
图片尺寸720x486
格林公式 如图:一开始的原式=的前面那部分是怎么变成4∫∫ddxdy的?
图片尺寸546x424
格林公式计算含绝对值曲线积分
图片尺寸534x353
如何理解格林公式
图片尺寸640x455
2 格林公式及其应用ppt
图片尺寸1080x810
格林公式
图片尺寸700x438
麦克劳林公式
图片尺寸829x700
格林公式词条图册_百度百科
图片尺寸500x209
格林公式什么梗 - 格林公式三维格林公式 - 实验室设备网
图片尺寸749x848
格林公式
图片尺寸300x206
多变量微积分笔记16——格林公式
图片尺寸415x177
数学: 格林公式的题目,我的理解有错吗?
图片尺寸741x450
多变量微积分笔记16格林公式
图片尺寸499x497