桥苯环萘

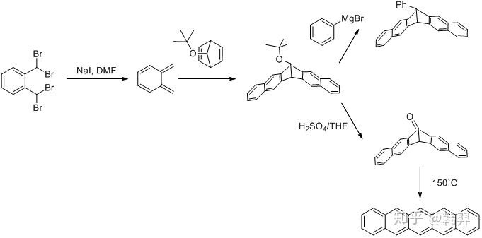
如下图所示的「桥苯环萘」分子应该如何合成? - 知乎
图片尺寸2150x954
桥苯环萘!22.白灯好了 手比越过调车信号23.4536251 415263724.
图片尺寸830x464
2018-8-26 来自 微博国际版 关注 笑死 : 转发这个桥苯环萘
图片尺寸360x360
如下图所示的「桥苯环萘」分子应该如何合成?
图片尺寸681x337
如下图所示的桥苯环萘分子应该如何合成
图片尺寸720x628
多环芳烃是分子中含有两个以上苯环的碳氢化合物,包括萘,蒽,菲,芘等
图片尺寸523x320
如下图所示的「桥苯环萘」分子应该如何合成?
图片尺寸1177x1269
桥本环奈 呸,放错了 桥苯环萘 真的只是觉得这个化合物好看
图片尺寸640x320
反应汇总有机合成中常见的光化学反应
图片尺寸1000x326
【开眼看世界】c64h64苯环(benzene ring)苯分子结构和萘分子结构
图片尺寸1376x860
β-位取代只有一个共振式有完整的苯环. 在萘
图片尺寸600x354
【美图】桥本环奈
图片尺寸707x1000
反应汇总有机合成中常见的光化学反应
图片尺寸1080x850
反应汇总有机合成中常见的光化学反应
图片尺寸1000x376
长沙理工大学罗维纬与周俊团队不对称合成轴手性杂芳基二胺化合物
图片尺寸660x324
长沙理工大学罗维纬与周俊团队不对称合成轴手性杂芳基二胺化合物
图片尺寸660x359
上科大杨晓瑜课题组acscatal不对称亲电胺化构建二芳基胺阻转异构体
图片尺寸660x471
上科大杨晓瑜课题组acscatal不对称亲电胺化构建二芳基胺阻转异构体
图片尺寸660x324
综述含硼化合物崛起
图片尺寸644x530
兰大曾会应课题组greenchem钯催化酚类化合物转化为四氢吖啶类化合物
图片尺寸660x1253