桨叶弦线

p>桨叶角(propeller blade angle),又称桨叶的扭角,是指螺旋桨弦线和
图片尺寸411x557
直升机空气动力学基础---002 桨叶的主要参数_桨叶展弦比-csdn博客
图片尺寸1771x769
p>桨叶角(propeller blade angle),又称桨叶的扭角,是指螺旋桨弦线和
图片尺寸611x407
桨叶的几何参数和空气动力特性
图片尺寸231x66
日有所识:桨叶展弦比及其对阻力影响
图片尺寸909x661
桨叶的几何参数和空气动力特性
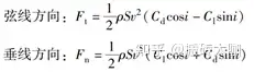
图片尺寸350x40
第二级在第一级后反向旋转,会诱导第一级桨叶的轴向来流产生一个
图片尺寸490x379
3,顺桨顺桨的目的是将桨叶角增大到 90°左右,桨叶几乎与飞行速度方向
图片尺寸617x303
本实用新型的桨叶尾部横截面呈流线型,其翼弦线方向与风速方向形成一
图片尺寸1806x910
步骤:第一步:确定螺旋桨直径;第二步:确定螺旋桨桨叶宽度与桨叶厚度
图片尺寸1363x728
表示机翼的曲率量弦=连接前缘和后缘的线.
图片尺寸1080x521
k线形态之螺旋桨
图片尺寸788x459
具有至少两个螺旋桨桨叶的螺旋桨组件的制作方法
图片尺寸1000x444
相对来流从上方吹来时,桨距>迎角;悬停状态,主要来自于桨叶旋转产生的
图片尺寸640x519
直升机桨叶采用的翼型有对称翼型和非对称翼型,其中
图片尺寸640x393
⑤ 螺旋桨的几何扭转 螺旋桨几何扭转的目的,是为了保持螺旋桨桨叶
图片尺寸1080x810
也叫节距角,安装角(定桨距风机系统),就是桨叶横截面弦线与桨叶旋转
图片尺寸615x968
直8直升机应用亚洲最大复合材料桨叶图
图片尺寸512x340
螺旋桨周围流场迹线图 fig.
图片尺寸1417x1895
直升机桨叶噪声计算算例 - 案例展示 - 成都前沿动力科技有限公司
图片尺寸1162x687