楔形键

钩头薄型楔键
图片尺寸950x347
云飞紧固件 楔形-钩头平键键条现货 厂家直销
图片尺寸750x750
gbt1564_普通楔键 型式尺寸.pdf 4页
图片尺寸800x1132
搞机械怎么能不懂楔形机构36幅动态图强力科普你
图片尺寸400x430
kprepublic楔形文字古巴比伦原厂高度灰白白热升华键帽键盘
图片尺寸800x533
000人付款淘宝钩头键条 gb156 5楔形键条 钩头楔形键 45号钢 厂家直销
图片尺寸300x300
楔形-钩头平键定做 现货键条厂家直销
图片尺寸750x750
这个楔形键能不能画成普通键啊求问
图片尺寸1080x1440
楔形键合
图片尺寸840x1210
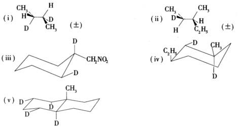
取代环己烷的稳定构象怎么画(如图)这个楔形键不代表a键e键吗?
图片尺寸1765x597
搞机械怎么能不懂楔形机构,36幅动态图强力科普你
图片尺寸400x430
键类系列
图片尺寸496x376
云飞紧固件 楔形-钩头平键键条现货 厂家直销
图片尺寸800x800
键和键连接
图片尺寸500x353
完成下列反应,写出主要主物及其构型(用楔形键与虚线表示).
图片尺寸487x252
w4sc-p012
图片尺寸640x480
搞机械怎么能不懂楔形机构,36幅动态图强力科普你
图片尺寸400x430
加工模具标准件规格齐全楔形衬垫调整键
图片尺寸750x750
任务2绘制钩头楔键零ppt
图片尺寸800x600
cn101002047a_具有楔形键部的管道连接机构有效
图片尺寸2255x1876