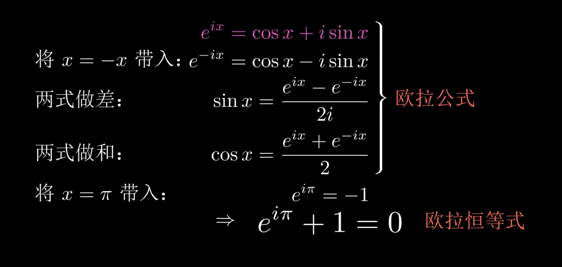
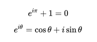
欧拉公式

【数学之美】解析欧拉公式:复数与三角函数的完美结合!
图片尺寸2157x1280
欧拉公式
图片尺寸1132x538
欧拉公式
图片尺寸791x423
很多人真正爱上数学是从欧拉公式开始的它到底有怎样的魔力
图片尺寸960x403
欧拉恒等式图解#欧拉公式 - 抖音
图片尺寸736x582
数学# 微积分calculu逆天海离薇利用可爱因子和欧拉公式求解数学分析
图片尺寸480x960
所有学生的噩梦,"数学之王"欧拉究竟有多牛,"开挂"般的人生_公式_学科
图片尺寸1264x816
数论欧拉函数
图片尺寸885x737
【数学之美】解析欧拉公式:复数与三角函数的完美结合!
图片尺寸2276x1280
欧拉公式定理数学家复变三角函数双肩背包大容量书包男女休闲ww
图片尺寸800x800
7 欧拉公式
图片尺寸986x772
欧拉——数学界的英雄:欧拉公式为何被称为世界上最优美的公式?
图片尺寸640x582
欧拉公式的应用
图片尺寸2233x3026
数理科普:欧拉公式……via
图片尺寸480x853
q萌设计欧拉好猫即将开售小姐姐新宠
图片尺寸900x386
信号与系统欧拉公式
图片尺寸920x690
欧拉复数公式
图片尺寸700x391
申圆诗词:世界最完美公式――欧拉公式(新韵)
图片尺寸640x657
参与团队:随便玩玩可以吗 向ta提问私信ta 展开全部 (i)利用欧拉公
图片尺寸580x594
信号分析专业课介绍欧拉公式
图片尺寸1080x810