正弦值

正弦值
图片尺寸635x513
正弦值
图片尺寸657x1030
90的正弦值,余弦值以及正切值分别是多少?
图片尺寸478x262
正弦函数图象及性质
图片尺寸1080x607
在三角形中,各边和它所对角的正弦值的比相等且等于外 - 抖音
图片尺寸488x616
角度的正弦值 excel 工作表
图片尺寸648x916
正弦三角函数查询表(0°-90°)
图片尺寸587x600
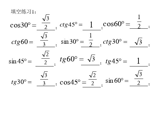
二,30,45,60的正弦值,余弦值和正切值如下表
图片尺寸466x364
三角函数表
图片尺寸763x971
对角的正弦值,确定角的值时,要注意避免增根或漏解,常用的基本方法就
图片尺寸650x438
初三数学正弦值余弦值和正切值
图片尺寸478x235
135°|150°|180°| 弧度x|0正弦y=sinx|01|0余弦y=csx|1|0-|-|-|-1
图片尺寸496x702
正弦值 - 百度文库
图片尺寸500x375
初中数学知识点——三角函数(1):三角函数值表
图片尺寸615x609
追问 嗯是 回答 正弦余弦值?
图片尺寸592x578
正弦 余弦表
图片尺寸642x476
正弦值等于它的余角的余弦值,任意锐角的余弦值等于它的余角的正弦值.
图片尺寸665x237
1锐角三角函数(第3课时)ppt 30°,45°,60°角的正弦值
图片尺寸1080x810
文档下载 所有分类 > (完整版)三角函数特殊角值表说明:正弦值随角度
图片尺寸429x336
初中所学锐角三角函数有关特殊角的三角函数值内容,不容错过!
图片尺寸640x450