比重

铝合金比重表
图片尺寸920x1302
常用金属材料的比重参考表doc
图片尺寸860x1216
浆液比重与浓度关系表
图片尺寸701x1033
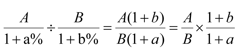
两期比重差公式
图片尺寸751x455
行测资料分析之比重 比值 倍数 平均数.资料分析重中之重:比 - 抖音
图片尺寸1280x720
3 其他几种金属的比重数值(水比重为1.0) 铅 铜 钢 锌 钛 铝 镁 11.
图片尺寸1080x810
比重的基本公式.png
图片尺寸767x592
资料分析重点题型之比重问题
图片尺寸953x199
波美计比重计凉皮面浆米浆液体浓度计测量仪卤水盐度计比重表0-70
图片尺寸800x800
两期比重增长率公式是什么?
图片尺寸510x309
《说说沉香》之比重对比表(转)
图片尺寸600x282
图1 80后与85后不同职业白领存在颈腰椎问题的比重.png
图片尺寸486x331
水灰比与比重对照表
图片尺寸1066x382
盐酸比重
图片尺寸1006x828
黄金的比重(铜和黄金的比重)
图片尺寸500x629
比重公式
图片尺寸774x356
3,比重的变化量 比重的变化量=现期比重-基期比重
图片尺寸975x480
海水比重与盐度换算表
图片尺寸920x1191
2020鄂州事业单位:比重的基本知识点
图片尺寸480x341
硫酸的比重与浓度对照表
图片尺寸610x1017