氯化钙化学式

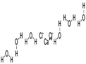
二水氯化钙10035048
图片尺寸605x375
氯化钙
图片尺寸300x225
氯化钙
图片尺寸268x138
二水氯化钙油田助剂使用
图片尺寸605x375
用电子式表示氯化钙的形成过程
图片尺寸312x77
四水氯化钙化学分子
图片尺寸255x227
氯化钙
图片尺寸400x400
氯化钙
图片尺寸300x300
用电子式表示离子化合物
图片尺寸334x334
氯化钙电子试为什么是上面那个而不是下面那个?
图片尺寸600x318
常见的化学式
图片尺寸594x960
二水氯化钙结构式
图片尺寸150x105
高一化学几个物质电子式
图片尺寸598x563
干货分享~高中化学有关氯气的化学方程式总结
图片尺寸549x584
高中化学必修一氯的化学方程式规律
图片尺寸485x292
石灰石的化学式
图片尺寸920x1302
氯化铵和氢氧化钙的反应式
图片尺寸1664x936
物质与化学式对照表
图片尺寸1025x674
求氯化钙和过氧化钠的电子式,我查了没有,不知道怎么画的,请高人指教
图片尺寸320x153
的简化电子排布式 1 2012-02-19 用电子式表示钙和溴形成化合物的过程
图片尺寸376x265