氰基苯

aladdin/阿拉丁 4-氰基苯乙酮 c153682-100g cas号1443-80-7 gc >97%
图片尺寸600x600
中文名 4-氰基苯硼酸(订货以英文名称为准)
图片尺寸300x300
50-1同义名:前往购买化合物百科2-(溴甲基)-6-氰基苯甲酸甲酯methyl
图片尺寸300x300
cas:13001-39-3|1,4-双(2-氰基苯乙烯基)苯-毕得医药
图片尺寸500x500![[0270] 6-(3-氰基苯氧基)-4-(6-甲基-吡啶-2-基氨基)-哒嗪-3-甲酰胺](https://imgs.wantubizhi.com/img/735A5D1F980B52A636CC46F12F2D1A73F09BF29A9CC96BF01BE6987D3AAB103AACE2EEED642B7BF801974F4720B47863FC6FFF155FC9642971D2F9C8DE174B85B113D9B8B5D6B311636C2F81C2A39D96760F053DC5F99588A7B877DCEEC0CF4F)
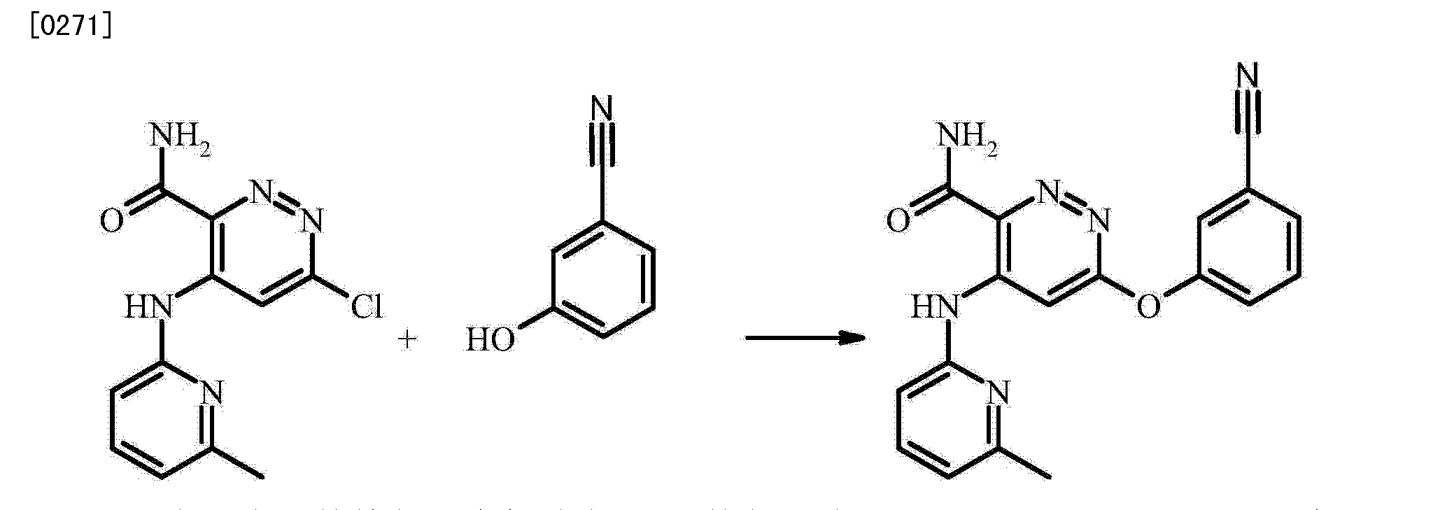
[0270] 6-(3-氰基苯氧基)-4-(6-甲基-吡啶-2-基氨基)-哒嗪-3-甲酰胺
图片尺寸2078x729
mk-2866
图片尺寸1179x1088
麦克林 3-氰基苯硼酸 98% cas:150255-96-2
图片尺寸750x750
4-氰基苯硼酸 | cas#:126747-14-6 | 实验谷 | 国内外品牌试剂一站式
图片尺寸300x300
纯苯-新乡县欣源化工有限公司
图片尺寸640x640
126747-14-6 4-氰基苯硼酸-25克 98% 白色固体 c-79
图片尺寸330x200
4-碘氰基苯的制备
图片尺寸241x282
9-(4-氰基苯)咔唑, 57103-17-0, 结构式
图片尺寸206x304
3-氰基苯甲醛
图片尺寸484x300
该方法的缺点是原料无论是邻 (对) 氰基苯甲醚还是邻 (对) 甲基苯甲醚
图片尺寸1002x450![17450-68-9 6-氰基苯并[b]呋喃](https://imgs.wantubizhi.com/img/735A5D1F980B52A636CC46F12F2D1A73D1BC2A46E8CC284A0F03D38B1C6F7AF1F9D946D0746DDE2F6AB1CB882CFAD9B1B7265483CB522B49DBA27299B60DAA55775F41A8D146769544B7C6AAE8CB3034508EF96252EE194002D680C3AD3828C4)
17450-68-9 6-氰基苯并[b]呋喃
图片尺寸300x300
4-氰基苯甲酰胺3034-34-2
图片尺寸750x750
4氰基42苯乙基硫代硫氧甲基硫代戊酸价格
图片尺寸438x158
4-氰基-3-氟苯基 4-庚基苯甲酸酯benzoic acid, 4-heptyl-, 4-cyano-3
图片尺寸300x300
4氰基苯甲酸
图片尺寸355x267
4氰基苯甲胺
图片尺寸600x600