求和

高中数学专题课件:数列求和(新人教版a必修5)ppt
图片尺寸1080x810
请问一个求和符号的含义
图片尺寸340x198
一道高数级数求和题
图片尺寸641x280
((-1)∧n)×n×(n 1)x∧n幂级数求和
图片尺寸1701x1085
高中数学|数列求和经典题型归纳!高中数学 数列求和经典题型归 - 抖音
图片尺寸1242x1660
excel表格中怎么进行求和
图片尺寸500x316
数例求和
图片尺寸434x600
excel中怎么求和,求和的几种方式
图片尺寸640x477
(n=1,∞) n(n 1)x∧n 求和函数
图片尺寸441x330
1/n(n 1)(n 2)求和怎么做
图片尺寸445x264
如何使用计算机求和公式excel求和公式怎么用
图片尺寸613x615
((-1)∧n)×n×(n 1)x∧n幂级数求和
图片尺寸450x300
两道关于数列求和的数学题,求解!
图片尺寸450x253
数学求和,过程详细点
图片尺寸303x210
级数求和问题: ∑(0,∞)((-1)^n * n^3 * x^n)/(n 1)! 速求大神!
图片尺寸450x371
算法设计与分析08序列求和的方法
图片尺寸1609x1187
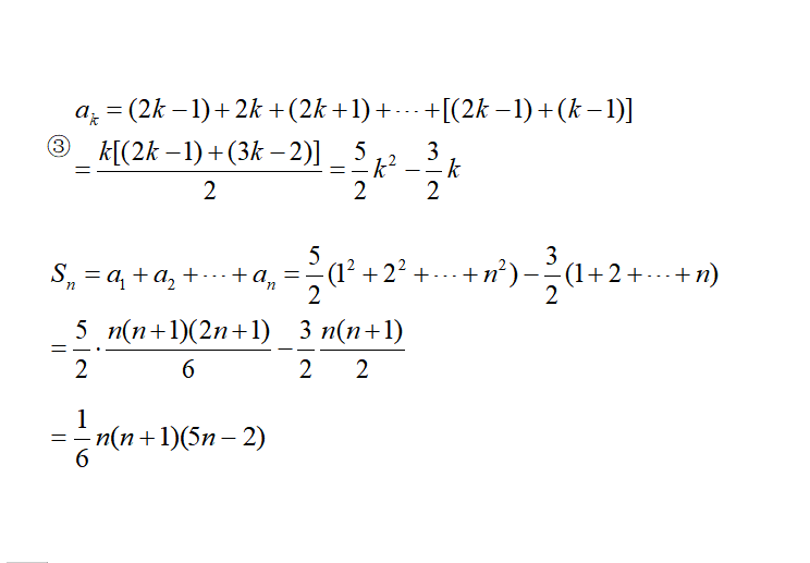
数列求和的基本方法优质
图片尺寸682x664
高考数列求和的方法有哪些本文主要分享6种方法基本涵盖高中阶段数列
图片尺寸744x517
用错位相减法求和,sn=2*1/3 3*1/3 4*1/3. (n-1)*1/3^n
图片尺寸781x761
高考数列求和的方法有哪些本文主要分享6种方法基本涵盖高中阶段数列
图片尺寸969x732