汤加语

汤加语口语入门(非通用语口语入门系列教材)
图片尺寸800x800
汤加语口语入门 图书
图片尺寸800x800
马达加斯加语等;波利尼西亚语族的代表语言有毛利语,汤加语萨摩亚语
图片尺寸421x495
"汤加语"属于马来-波里尼西亚语,"汤加"意为"南方",因汤加群岛处于
图片尺寸640x829
新经典汤加语(综合教程)(1)
图片尺寸800x800
"rar"是"rarotongan"的英文缩写,意思是"拉罗汤加语"
图片尺寸600x255
共和国外交官摇篮101种外语专业中国语言类高校top1这所双一流院校
图片尺寸1080x1299
汤加丽,一个在照片中出现的名字,曾经是一位知名的模特.
图片尺寸944x1280
《北外英院人》第10期-英语学院
图片尺寸1024x1448
《北外英院人》第10期-英语学院
图片尺寸1024x1448
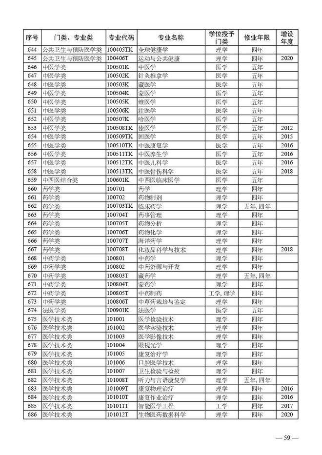
高中生注意2024年新增了这些本科专业附2024年本科专业目录
图片尺寸660x933
共和国外交官摇篮101种外语专业中国语言类高校top1这所双一流院校
图片尺寸1024x640
响应国家语言战略培养非通用语种人才
图片尺寸556x164
【正版现货】汤加语口语入门(非通用语口语入门系列教材) 王文丽,翟峥
图片尺寸800x800
高中生注意2024年新增了这些本科专业附2024年本科专业目录
图片尺寸660x933
唐诗著名"受降城"之谜:揭秘其历史意义与重要性
图片尺寸640x411
北外是除美国夏威夷州和南太平洋地区以外,全球第三个开设汤加语课程
图片尺寸300x251
高中生注意2024年新增了这些本科专业附2024年本科专业目录
图片尺寸660x933
唐诗著名"受降城"之谜:揭秘其历史意义与重要性
图片尺寸640x388
唐诗著名"受降城"之谜:揭秘其历史意义与重要性
图片尺寸640x341