泰勒展开式壁纸
 - 常用泰勒展开式图片尺寸864x1920
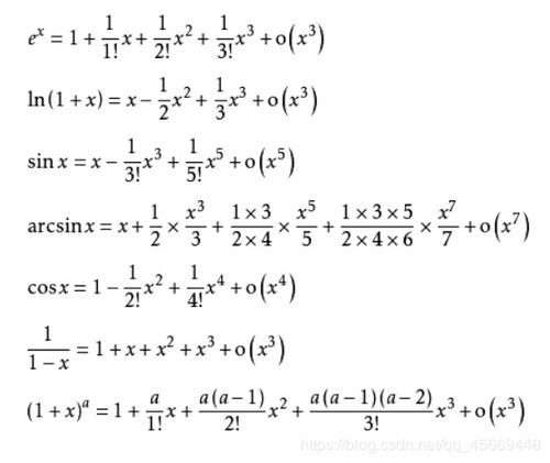
 - 常用函数泰勒展开公式图片尺寸367x421
 - 高等数学九泰勒展开式图片尺寸1058x672
 - 泰勒展开图片尺寸288x407
 - 常用泰勒展开图片尺寸893x1263
 - 喜欢- 堆糖,美图壁纸兴趣社区图片尺寸400x710
 - 霉霉##欧美##明星##壁纸##头像##锁屏##女神##泰勒斯威夫特##taylr图片尺寸853x1280
 - 泰勒77(67 70 6771) - 堆糖,美图壁纸兴趣社区图片尺寸400x567
 - 求大神把泰勒公式中常用函数的展开式写给我谢谢了,要详细的图片尺寸1091x661
 - 泰勒斯威夫特高清壁纸图片尺寸400x711
 - 关于ln1x1x在无穷远处泰勒展开图片尺寸1696x680
 - 泰勒·斯威夫特 taylor swift 霉霉 4k壁纸图片尺寸2304x1296
 - 泰勒公式常用泰勒公式常用展开式图片尺寸500x421
 - 堆糖,美图壁纸兴趣社区图片尺寸700x1391
 - taylor swift - evermore [weibo@·泰勒斯威… - 堆糖,美图壁纸兴趣图片尺寸1000x2036
 - taylor 壁纸图片尺寸400x600
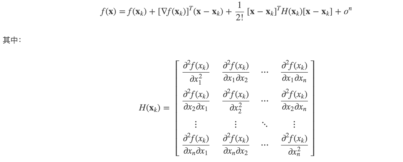
 - 多元函数的泰勒展开式图片尺寸1678x676
 - 泰勒霉霉演唱会 - 堆糖,美图壁纸兴趣社区图片尺寸400x683
 - 数学新视野:从牛顿-莱布尼兹公式推导出泰勒级数图片尺寸640x648
 - 泰勒·斯威夫特性感高清桌面壁纸图片尺寸1920x1200