泰勒展开cosx

求大神把泰勒公式中常用函数的展开式写给我谢谢了,要详细的
图片尺寸1091x661
cosx sinx 泰勒展开 c
图片尺寸800x491
泰勒级数的展开公式.
图片尺寸367x421
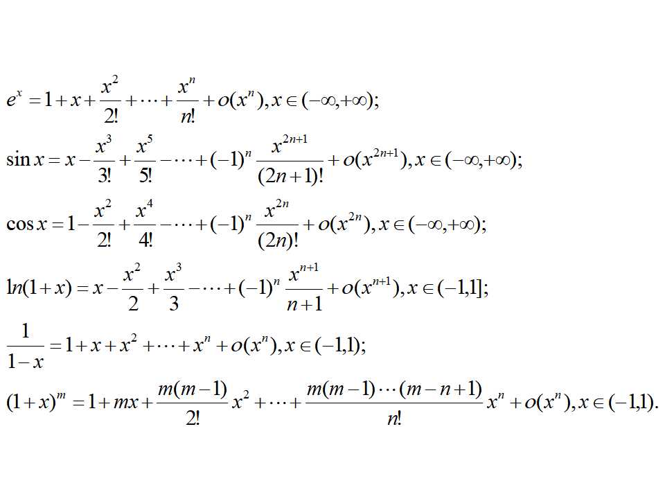
常用泰勒级数展开式 - 知乎
图片尺寸426x432
展开全部 把cos2x用泰勒展开到二阶,然后把得到的cos2x^2,再用泰
图片尺寸550x261
考研数学-常见的11个泰勒展开式 这是最全的泰勒展开式的集合,可以
图片尺寸984x1280
cosx的泰勒展开式cosx的泰勒展开式推导
图片尺寸291x224
求大神把泰勒公式中常用函数的展开式写给我谢谢了,要详细的
图片尺寸1082x625
就是第一张图里cosx,sinx的泰勒展开感觉最后面的不对啊,我按照第二张
图片尺寸3264x2448
(2)分子用cosx的泰勒展开式 分母用sinx的泰勒展开式 极限=7/4 过程如
图片尺寸929x387
求y=cosx在x=1处的3阶泰勒展开.
图片尺寸816x459
泰勒展开
图片尺寸288x407
泰勒公式泰勒展开式通俗本质详解豆沙糕的博客csdn博客泰勒公式
图片尺寸634x316
展开全部 (1)分子用cosx和e^x的泰勒展开式 分母用ln(1 x)的泰勒展开
图片尺寸958x559
sinx与cosx平方立方后的泰勒级数展开式
图片尺寸1600x404
余弦函数cosx的泰勒展开无穷乘积连分数展开公式
图片尺寸1578x745
高数,按照函数的泰勒展开式求下列极限
图片尺寸2281x2381
也可以直接套用 cosx,cos2x 的展开式; 2,咎邋
图片尺寸2765x1030
泰勒公式 cosx-e∧(-x∧2-2)用迈克劳林求一下 到o(x∧4)就行
图片尺寸436x163
泰勒公式在不同点展开有什么区别麦克劳林公式常用
图片尺寸960x720