泷法本

道教老法本
图片尺寸1080x1440
六壬风火院秘传法本(六壬仙法 六壬道法 伏英馆 道教用品 仙师)16开
图片尺寸849x648
道教法本b6164 正一秘传,实用高阶的遣瘟治病秘科《治病送替代茅人保
图片尺寸1200x900
各类正常和非正常的和合法(非常丰富个人认为整套法本1200_1600竖版
图片尺寸1200x1600
六壬风火院秘传法本(六壬仙法 六壬道法 伏英馆 道教用品 仙师)16开
图片尺寸856x548
保罗书信丨律法本是藉着摩西传的,恩典和真理都是由耶稣基督来的
图片尺寸640x398
抖音图文来了 法本一宗 人有南北 法即一种 见有迟疾 - 抖音
图片尺寸750x1334
道教老法本 风水地理书 地理秘授 80筒页 复印件
图片尺寸1200x900
横条硬笔书法法本练字小学成人作品钢笔比赛信纸
图片尺寸800x800
智能时代:人工智能等新兴技术带来新职业-行业新闻-法本信息
图片尺寸527x325
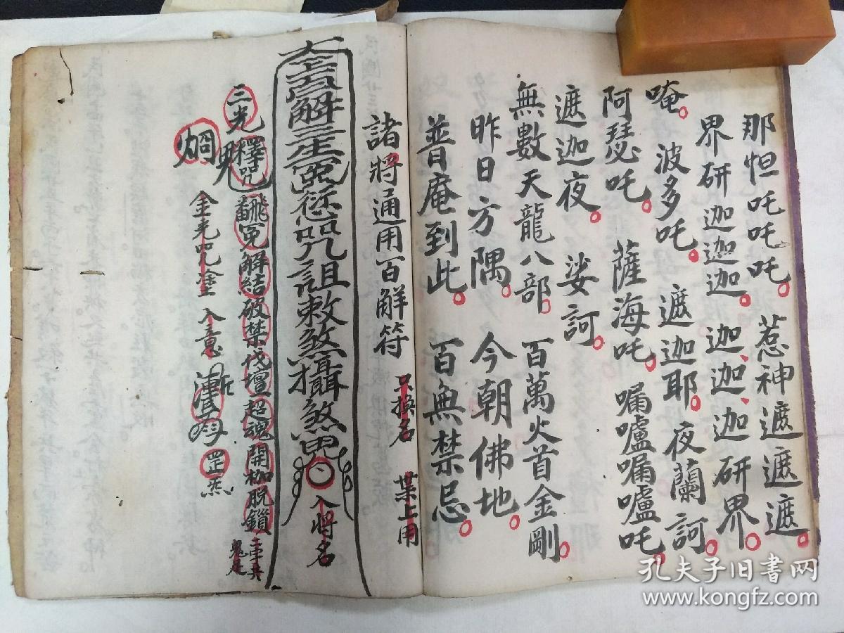
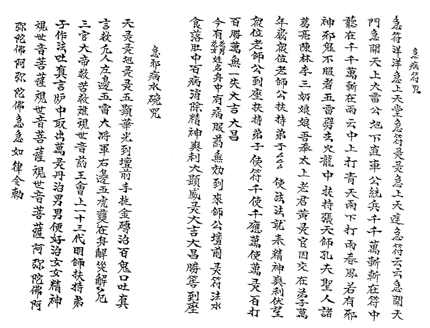
道教茅山法本古籍茅山法咒
图片尺寸660x523
道教法本 b4927 清代,道光年间,天心雷坛手录流传 丰都内台杨御史
图片尺寸756x1008
宁玛大乘乌金法乐洲前行仪轨法本
图片尺寸986x703
我听说非法本比法本考生更容易过法考?_考试_训练_优势
图片尺寸440x421
道教茅山法本古籍茅山法咒
图片尺寸660x523
民间法教白莲法本全本117页
图片尺寸240x240
六壬风火院秘传法本(六壬仙法 六壬道法 伏英馆 道教用品 仙师)16开
图片尺寸865x681
求购法本的姐妹有出太皇太后的吗
图片尺寸800x533
公开真正的六壬法本,正本清源 - 风水 - 风水学
图片尺寸300x400
南洋六壬教秘传法本六壬仙法六壬道法伏英馆道教用品仙师
图片尺寸532x736