测绘报告

南昌市城镇房屋建筑面积测绘报告doc20页
图片尺寸792x1120
茗都广场的测绘报告.
图片尺寸2000x2667
南昌市城镇房屋建筑面积测绘报告
图片尺寸920x1302
建筑面积测绘报告范本
图片尺寸920x1302
关于安心家园项目1号楼2号楼3号楼5号楼房屋实测绘成果信息网上公示的
图片尺寸1536x2048
图为刘女士提供的所购商品房《房屋测绘报告书》
图片尺寸550x733
不动产测绘报告
图片尺寸920x1302
房产测绘报告格式
图片尺寸920x1302
南昌市城镇房屋建筑面积测绘报告
图片尺寸762x1031
全尺寸测量报告
图片尺寸920x1302
地形图测绘实验报告
图片尺寸920x1302![50 kb 下载次数:328 次]点击下载文件:中北小区实测绘成果审核公告.](https://imgs.wantubizhi.com/img/A1A61BAA66193547F3A6DD7D8EE527E99FC076CC6378B02FD74FA27FE713FDA9E2346ECCB52B125C2DE23550D5A16D4F93CC4E1CF44C3B810B1462E06B69DDA54E7CCB6BF5D853DDC4467DDF21E4626C560ECD9C0BC84CAAA77506536DD0C98B)
50 kb 下载次数:328 次]点击下载文件:中北小区实测绘成果审核公告.
图片尺寸1536x2048
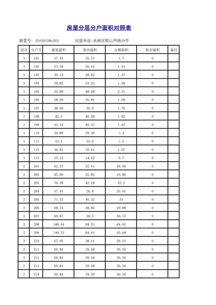
房屋面积测绘报告
图片尺寸860x1216
测绘成果质量检验报告
图片尺寸920x1303
某房地产监理所房屋面积测绘报告.doc
图片尺寸993x1404
工程测量成果报告
图片尺寸1653x2338
万科美景龙堂小区2号楼房屋面积测绘报告书
图片尺寸920x1302
金钟大雁城10#测绘报告
图片尺寸708x1000
南昌市城镇房屋建筑面积测绘报告doc20页
图片尺寸792x1120
【测绘仪器检定书】广东省测绘仪器检定书
图片尺寸707x1000