海藻酸钠分子式图片

海藻酸钠化学结构式
图片尺寸469x260
海藻酸钠_msds_用途_分子量_海藻酸钠cas号【9005-38-3】_化源网
图片尺寸250x250
海藻酸钠在重金属污染治理方面的研究
图片尺寸2835x942
绿色荧光标记海藻酸钠fitcalginatepegnh2nhs
图片尺寸459x239
海藻酸钠
图片尺寸484x300
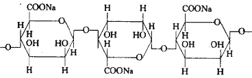
又名海藻 酸钠.分子式 (c h o na) n,结构式
图片尺寸803x254
海藻酸
图片尺寸300x300
海藻酸钠粘合剂
图片尺寸419x304
对以海藻酸钠为载体的酵母细胞固定化实验的解读
图片尺寸631x249
供应海藻酸钠
图片尺寸608x230
biomineralizationandsurfacefunctionalizationofcellulosesod
图片尺寸3150x2408
海藻酸钠胶
图片尺寸368x114
河北慧盟海藻酸钠价格褐藻酸钠
图片尺寸839x666
海藻酸钠_海藻酸钠生产厂家
图片尺寸691x185
海藻酸化学结构式
图片尺寸387x312
利用微流控芯片技术制备海藻酸钠微球的方法
图片尺寸523x210
点击化学反应原位制备海藻酸钠水凝胶
图片尺寸893x237
print page.
图片尺寸1078x576
海藻酸钠分子式
图片尺寸250x77
海藻酸/藻朊酸/9005-32-7分子结构式
图片尺寸640x320