王静恩

王静恩
图片尺寸268x207
上海新纪元双语学校分享:上海新纪元双语学校王静恩将代表上海角逐
图片尺寸1080x810
常青藤幼儿园托班王静恩小朋友成长印记
图片尺寸960x1288
常青藤幼儿园托班王静恩小朋友成长印记
图片尺寸640x640
平方米起在线咨询太原电视台台长赵欣在会上,市房管局局长王静恩表示
图片尺寸500x333
太原市万柏林区委书记王静恩
图片尺寸600x400
常青藤幼儿园托班王静恩小朋友成长印记
图片尺寸960x1288
购房中心 楼盘动态 正文 3月17日上午,市房管局党组书记,局长王静恩
图片尺寸500x336
市房产管理局拓展房产抵押登记业务新闻发布会
图片尺寸633x450
恒大地产与红沟城中村改造项目合作签约太原市万柏林区委书记王静恩
图片尺寸500x333
上海新纪元双语学校环境
图片尺寸580x385
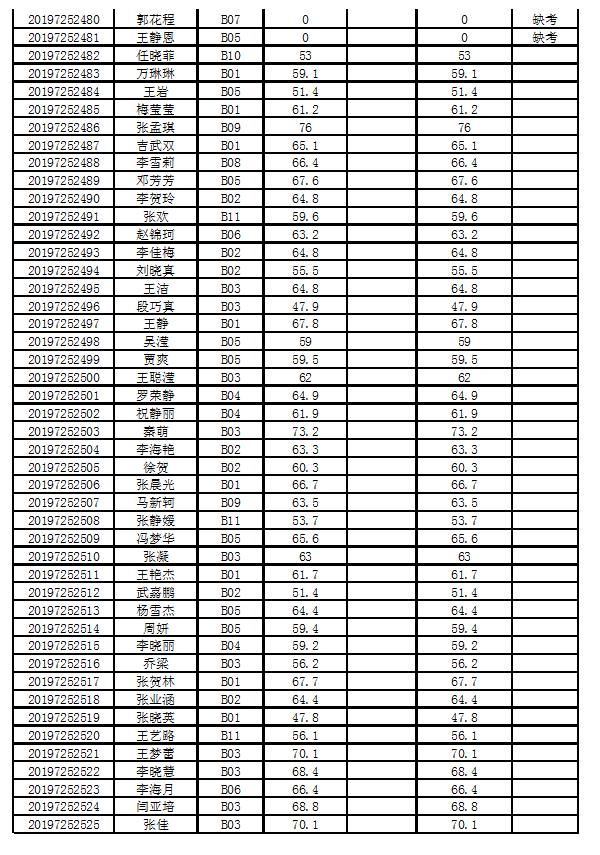
成绩查询郑州荥阳市2019年公开招聘教师笔试成绩公布通知
图片尺寸600x855
小井峪,红沟城中村改造项目合作签约仪式太原市万柏林区委书记王静恩
图片尺寸500x333
太原市万柏林区委书记王静恩小井峪,红沟城中村改造项目合作签约仪式
图片尺寸500x333
太原市万柏林区委书记王静恩在签约仪式中讲话
图片尺寸600x400
瞧,我班的王静恩同学唱着动听的歌儿,跳着优美的舞蹈在感恩她的妈妈
图片尺寸657x876
太原市万柏林区委书记王静恩在签约仪式中讲话恒大地产与小井峪城中村
图片尺寸500x333
王孟林 邓丕丽 王静恩
图片尺寸1000x666
王孟林 邓丕丽 王静恩
图片尺寸1000x666
走基层用行动关心教育万柏林区委副书记区长袁尔铭莅临万柏林三中调研
图片尺寸3216x2136