甲氧肟基

country life resveratrol plus(180粒)
图片尺寸1000x1000
7位顺式的甲氧肟基,甲氧肟基对β-内酰胺酶有高度的稳定作用,因此耐酶
图片尺寸650x248
de【答案解析】 头孢呋辛和头孢曲松结构中氨基侧链上含有甲氧肟基
图片尺寸321x161
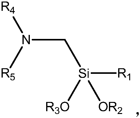
甲基三丁酮肟基硅烷
图片尺寸600x600
2019执业药师《药学专业知识一》每日一练(8月9日)
图片尺寸329x240
e9ci2甲氧基1肟25环己二烯14二酮186194649
图片尺寸605x375![化学名称:9—[o—[(2-甲氧基乙氧基)甲基]肟基]红霉素.](https://imgs.wantubizhi.com/img/A1A61BAA66193547F3A6DD7D8EE527E97C7C9810291455C7F9716B3178C89C3752E64BE3975F62C9752C8298281E7136C9C390D9496E533189589588480B84FA0C318CBA0AB95D99D6F8C7356B28BCB61BC3ABD692DE560B83C4976A9E40B200)
化学名称:9—[o—[(2-甲氧基乙氧基)甲基]肟基]红霉素.
图片尺寸280x300
湖北省远成药业有限公司
图片尺寸354x274
肟基化学结构式怎么画?
图片尺寸484x349
其特征在于所述的有机硅扩链剂为(吗啉甲基)甲基二丁酮肟基硅烷,n-正
图片尺寸455x382![罗力得,80214-83-1,9-{o-[(2-甲氧基乙氧基)-甲基]肟基}红霉素,罗](https://imgs.wantubizhi.com/img/A1A61BAA66193547F3A6DD7D8EE527E932151E11053456EBB8B7A2E66CC09BEE7CF30ABF13B7B9DE9313629F13FB5F197352CC0B189406F789B736C5D388A7D1539D5FB40C81EF67D5A4A65BA688BDA7DA741FA5C200275BF8D97FB68778AE6B)
罗力得,80214-83-1,9-{o-[(2-甲氧基乙氧基)-甲基]肟基}红霉素,罗
图片尺寸347x539
罗红霉素胶囊
图片尺寸320x320![【成份】 【化学名称】 9-{o-[(2-甲氧基乙氧基)-甲基]-肟基}](https://imgs.wantubizhi.com/img/A1A61BAA66193547F3A6DD7D8EE527E95EF6640169DC48C8BEE8D378B4C10216C3B543DFF90A2F876AD56E1B84EAD6DCC8B3E4553FC74B3A12E8E532ADB40F849E6A6E174FE1EB2508EFD724F2F611D1CB645A501A1C642501BFEE804A2A06D1)
【成份】 【化学名称】 9-{o-[(2-甲氧基乙氧基)-甲基]-肟基}
图片尺寸237x246
罗红霉素颗粒
图片尺寸800x800
42.熔点 160~161℃.溶于丙酮,氯仿,二甲基甲酰胺,不溶于水.
图片尺寸495x200
甲氧基丙烯酸酯类杀菌剂中的醚菌酯,肟菌酯等在植物器官表面上有气化
图片尺寸660x542
n--二甲基氨基甲酸酯类肟基氨基甲酸酯类稠环基氨基甲酸酯类④按化学
图片尺寸1080x701
9位引入肟基,肺部浓度高的是
图片尺寸588x481
(整合部)主要成分本品主要成分为罗红霉素,其化学名称为9-{o-[(2-甲氧
图片尺寸1201x900
储存条件: 见产品介绍 中文别名: 罗力得;{o-[(2-甲氧基乙
图片尺寸300x186