甲酰基

精细化工 o c 6h c oh c 6h o c 苯甲酸 苯甲酰基 o ho s o 硫 酸
图片尺寸1080x810
苯甲酰基
图片尺寸98x87
9455→现货商城 点击进入您可能关注查看全部邻甲酰基苯基-2-乙酰氨基
图片尺寸605x375
cas号: 51865-84-0 中文名称: 4-(n-甲酰基-n-甲基氨基)苯甲酸 英文
图片尺寸300x300
n-甲酰基-l-蛋氨酸|n-formyl-l-methionine|4289-98-9|tci|95.
图片尺寸836x640
broussonetinecompoundpreparationmethodthereforandapplic
图片尺寸294x230
苯基脲;非草隆;去草隆;3-苯基-1,1-二甲基脲;5-氯-2-氟-4-甲酰基哙い
图片尺寸605x375
毕得试剂 2-甲酰基-1,4-苯二羧酸 95% cas号69526-90-5 分子式c9h
图片尺寸800x800![41078-09-52-[(乙基氨基甲酰基)氨基]-2-氧乙烷碳亚氨基氰化物下游](https://imgs.wantubizhi.com/img/735A5D1F980B52A636CC46F12F2D1A730A2E8C069D83BAE8EE98F929B97E404C86C364544B61CA8562C74E706AF5ADFCB2259197DBFDE3BFBD2065F43C7E9008A8A72B911F4F360B58CCBBA7E9ADF251A32AFE896EFC7ECF73AA55CEFA6C4ECC)
41078-09-52-[(乙基氨基甲酰基)氨基]-2-氧乙烷碳亚氨基氰化物下游
图片尺寸300x300
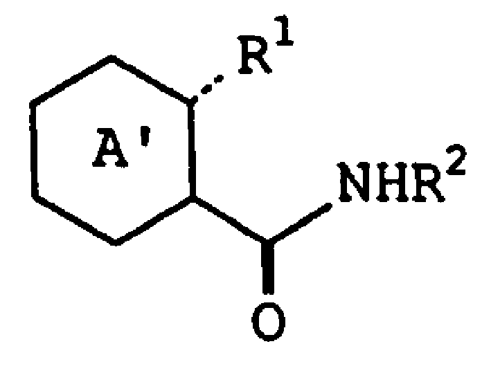
环;r1是o或oh; r2是氢,酰基或任选取代的氨基甲酰基烷基或羧基烷基;且
图片尺寸709x552
本发明的一个方面涉及一种方法,所述方法包括使式b的甲酰基丁二烯
图片尺寸802x432
temek;carbanolate 化学名称:o-甲基氨基甲酰基-2-甲基-2-甲硫基丙肟
图片尺寸1080x810
3,29-二苯甲酰基栝楼仁三醇
图片尺寸268x201
5-甲酰基-2-呋喃甲酸甲酯
图片尺寸300x300
阿拉丁 aladdin【企业专享】 584-87-2 3-甲酰基-4-羟基苯甲酸 f1
图片尺寸800x800
4 cm3/g配位金属 zn 配体 2-甲酰基咪唑(cas:10111-08-7)单位分子式
图片尺寸439x401
光引发剂tpo-l
图片尺寸1200x1600
加水煎煮的步骤可以继续减毒: (乌头次碱)进一步水解,使苯甲酰基水解
图片尺寸4280x2568
3-甲酰基-4-甲氧苯基硼酸
图片尺寸260x260![化学名:2-1-甲基乙基 2-[4-(4-氯苯甲酰基)苯氧基]-2-甲基丙酸酯cas](https://imgs.wantubizhi.com/img/ADDA3C5D760C6828B77B505A29D43E8339AC9ADFE2DF70191863F0B6F2ACC0B917AD6EC6F5EDD22F16EAE52C0393502133E6CE2C4D69524905181C3CF70A2D0826EFF577D420431D6D08A8AA29F3286BC1C08C967B5C526A33D52FBCDC8880F0)
化学名:2-1-甲基乙基 2-[4-(4-氯苯甲酰基)苯氧基]-2-甲基丙酸酯cas
图片尺寸300x300