电影观后感 手写

《八佰》观后感手写
图片尺寸960x1280
《1921》电影观后感
图片尺寸1125x1280
《万里归途》观后感 那是一种内心的澎湃与自豪 万里归途 观后感
图片尺寸960x1280
电影《万里归途》‖观后感 看的时候哭得一塌糊涂,想法蜂拥而至,看完
图片尺寸960x1280
红色电影观后感1500字77
图片尺寸1080x1164
电影《美丽心灵》||手写观后感 写得糊里糊涂 也没讲清楚整个故事的
图片尺寸960x1280
《中国医生》观后感 人民有信仰,民族有希望,国家有力量
图片尺寸1280x1280
《我和我的祖国》观后感 《我和我的祖国》观后感
图片尺寸960x1280
电影《美丽心灵》||手写观后感 写得糊里糊涂 也没讲清楚整个故事的
图片尺寸960x1280
《八佰》观后感手写
图片尺寸2560x1280
《长津湖》观后感300~500字 生于华夏,何其幸运!
图片尺寸960x1280
实验中学心理影片欣赏活动 写美篇 观影后,很多同学认真撰写了观后感
图片尺寸3000x4000
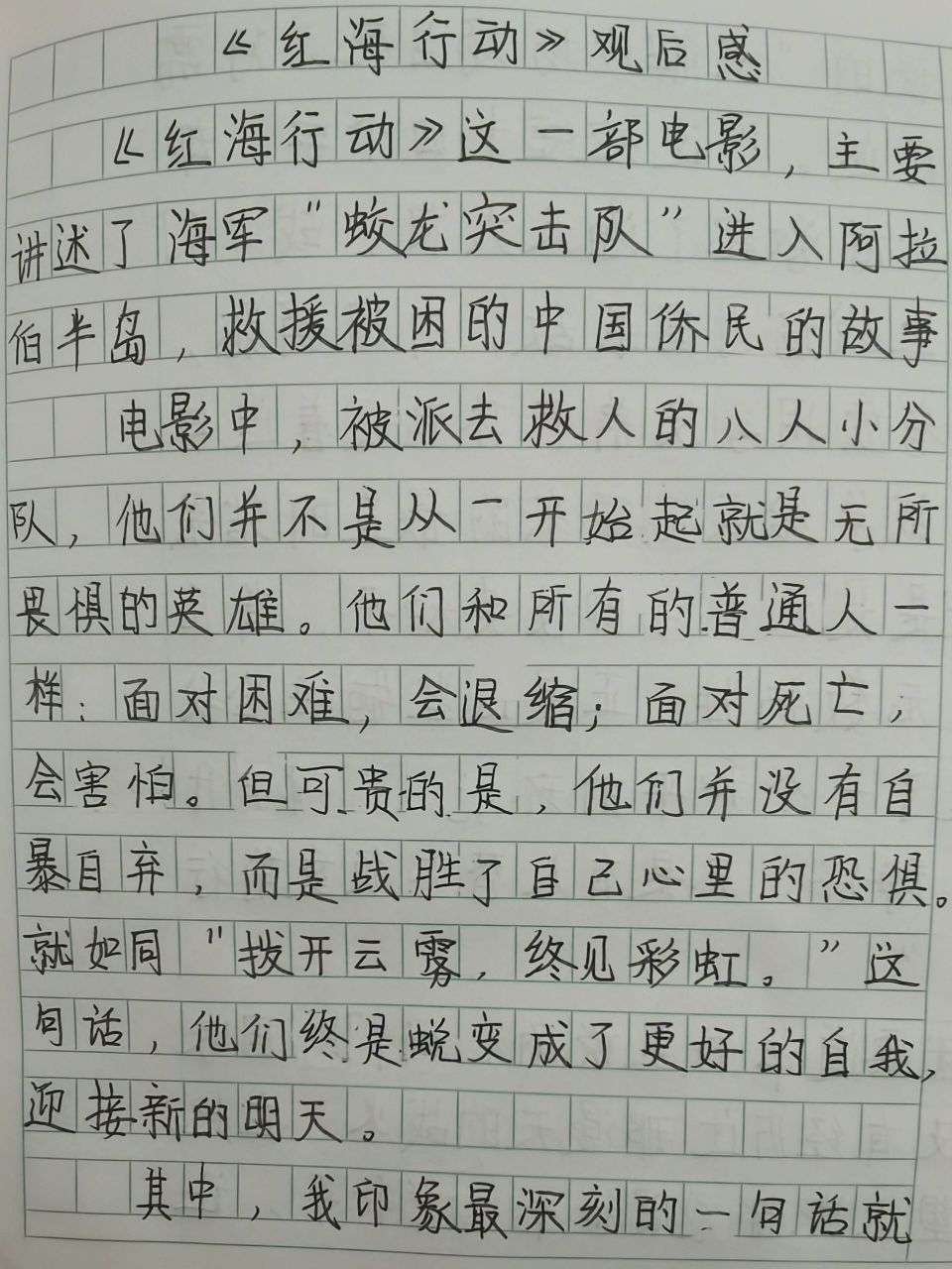
电影《红海行动》观后感写好了~ 张译,黄景瑜,海清等主演的《红海
图片尺寸960x1280
电影《夺冠》观后感 96时光不语,静待花开 99只要有1%的希望,60
图片尺寸960x1280
其它 《建军大业》观后感 写美篇 电影一开场就是工人学生游行
图片尺寸640x854
王宝强与马蓉关系破冰,晒女儿手写电影观后感,被猜测可能会复合
图片尺寸640x660
电影《美丽心灵》||手写观后感 写得糊里糊涂 也没讲清楚整个故事的
图片尺寸960x1280
电影《万里归途》‖观后感 看的时候哭得一塌糊涂,想法蜂拥而至,看完
图片尺寸960x1280
观后感9899 99分享《我和我的祖国》
图片尺寸960x1280
《何以为家》观后感
图片尺寸1904x4016