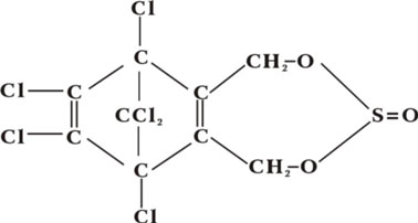
硫丹1

硫丹的名称
图片尺寸336x600
硫丹
图片尺寸210x263
35%硫丹 硫丹生产厂家 正规农药生产厂家
图片尺寸473x845
硫丹
图片尺寸330x337
硫丹
图片尺寸330x337
限制使用农药名录!十月起,22种农药实行定点经营
图片尺寸400x400
6日,会同县公安局广坪派出所成功查处一起非法使用农药"硫丹"毒鱼案件
图片尺寸500x282
(《聚方》半硫丹丸) ⑥治胃气,尤治寒痛:元胡锁,胡椒,五灵脂,白豆蔻
图片尺寸640x640
硫丹
图片尺寸170x200
提醒:3月26日起,硫丹禁止买卖了!
图片尺寸336x377
硫丹
图片尺寸378x202
河北邯郸支漳河鱼儿翻白续 系人为投毒捞鱼(图)
图片尺寸478x640
硫丹同位素
图片尺寸450x450
供应青岛杜邦农药杀虫剂35%硫丹 硫丹农药 叶蝉特效药 烟.
图片尺寸600x600
江苏快达 35%硫丹
图片尺寸1417x1417
35%硫丹乳油
图片尺寸297x483
物家族,不仅有我们经常听到的ddt,还包括六六六,狄氏剂,艾试剂,硫丹
图片尺寸1080x658
gb 20685-2006 硫丹原药 标准
图片尺寸595x842
硫丹
图片尺寸250x119
山东海利莱化工科技有限公司-产品展示1-1024商务网
图片尺寸600x400