碳青霉烯

防静电包装技术_静电喷漆技术具有效率高_静电粉末喷涂技术
图片尺寸1334x1334
exclusive cheapest price 99%min sodium carbonate na2co3 powder
图片尺寸1920x1767
美德声耐碳青霉烯类抗菌药物肠杆菌科细菌cre显色培养基
图片尺寸1080x607
碳青霉烯类抗菌药的比较pptppt
图片尺寸860x645
碳青霉烯类ppt
图片尺寸1080x810
碳青霉烯类抗生素的研究进展_徐辉
图片尺寸1895x736
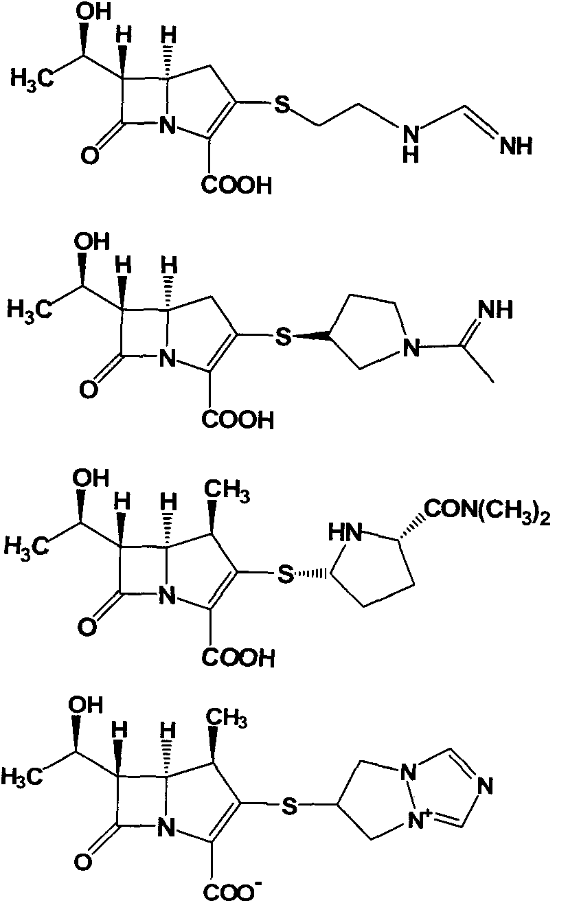
碳青霉烯类抗生素结构与活性关系研究进展
图片尺寸827x1331
碳青霉烯类药物临床应用精要
图片尺寸800x800
石墨烯粉体价格趋势
图片尺寸500x375
"噩梦细菌",学名为"耐碳青霉烯类抗菌药物的肠杆菌科细菌"(cre),属于"
图片尺寸549x551
抗菌药物管理现行政策下的碳青霉烯类抗菌药物临床使用
图片尺寸465x218
good quality spironolactone cas 52-01-7 with best price
图片尺寸900x675
cheap price graphitized petroleum coke 1-5mm carbo
图片尺寸800x800
碳青霉烯类-有抵抗力的肠杆菌科3英语字母表中的第四个字母说明照片
图片尺寸533x300
碳青霉烯类抗生素ppt演示课件_第3页
图片尺寸920x690
1β甲基碳青霉烯双环母核map
图片尺寸300x300
【前沿速递】革兰阴性杆菌中碳青霉烯酶检测方法(scim) 的简介
图片尺寸1080x1093
【前沿速递】革兰阴性杆菌中碳青霉烯酶检测方法(scim) 的简介
图片尺寸1080x1093
碳青霉烯酶能够水解碳青霉烯类抗菌药物β-内酰胺酶,根据ambler分类
图片尺寸768x313
碳青霉烯类抗生素
图片尺寸402x192