磷酸根

磷酸根(其他化学相关)_技点百科_技点网(其他化学相关)
图片尺寸658x611
磷酸根阴离子分子.结构化学式和分子模型
图片尺寸800x800
磷酸根的等电子体有哪些磷酸根电子式图解2022已更新今日热点
图片尺寸474x521
磷酸根的等电子体有哪些磷酸根电子式图解2022已更新今日热点
图片尺寸402x188
磷酸根
图片尺寸268x249
磷酸根的化学式
图片尺寸640x384
这类磷酸根离子的化学式可用通式表示为______(用n代表p原子数).
图片尺寸1924x506
gbw(e)083228 水中磷酸根成分分析标准物质100μg/ml 20ml/瓶包邮
图片尺寸837x347
水中磷酸根标准溶液
图片尺寸800x800
磷酸根
图片尺寸270x251
磷酸根的等电子体有哪些磷酸根电子式图解2022已更新今日热点
图片尺寸474x382
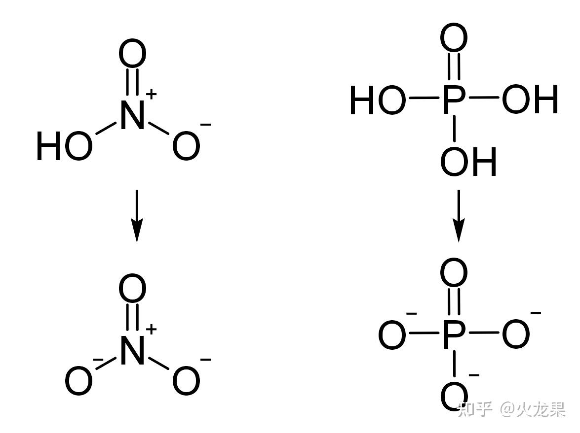
为什么磷酸根是po620663而不是像硝酸根这样的no6163
图片尺寸1175x879
磷酸根离子吸附型高分子无机杂化印迹材料及其制备方法和应用
图片尺寸1000x665
碳酸根(co6105ˉ),硫酸根(so6205ˉ),磷酸根(po6206ˉ)等
图片尺寸641x361
po43-磷酸根gsb04-2835-2011标准溶液-icp分析溶液1000μg/ml
图片尺寸800x800
化科 tmrm,bw2015-300-w-20,bw2015-1000-w-20,水中磷酸根-磷酸盐/以
图片尺寸800x800
dspe磷酸根右边带活性基团如dspe-mal/nhs/cooh/nh2/biotin等改性
图片尺寸640x640
abb navigator600 强阴离子交换器 磷酸根监测 全新原装
图片尺寸1706x1280
暂记铵根为正价,负三有个磷酸根.
图片尺寸1080x810
磷酸根的测定
图片尺寸920x1302