磺酸基

磺酸图片_百度百科
图片尺寸167x234
实验试剂 磺酸基-cy3羧酸 sulfo-cy3-cooh cas 146368-13-0 95%
图片尺寸3024x3024
*3)磺化反应 ) ho—so3h 70℃~80℃ ℃ ℃ —so 3h h2o (苯磺酸)
图片尺寸1080x810
单取代甲基苯要用磺酸基保护对位
图片尺寸1070x966
磺酸基cy7.5-二甲基,sulfo-cyanine7.5 dimethyl_acid_相关_结构式
图片尺寸554x228
2羟乙基磺酸2hydroxyethanesulphonicacid
图片尺寸255x227
水泥与外加剂的适应性调整方法是什么
图片尺寸501x368
氨基磺酸
图片尺寸500x400
中文名 甲磺酸2-甲氧基乙酯(订货以英文名称为准)
图片尺寸300x300
供应: l-樟脑磺酸
图片尺寸640x480
图片 环己基氨基磺酸,n-cyclohexylsulfamic acid;≥98.0% (t)
图片尺寸415x198
烯丙基磺酸钠 2495-39-8 化工助剂 电镀剂 合成材料中间体_其它化工
图片尺寸500x500
全氟己基乙基磺酸 取代fc-248
图片尺寸511x593
盛源化工供应aos α-烯基磺酸钠高泡精 高泡粉发泡剂 粉/液体一公斤起
图片尺寸900x599
烯丙基磺酸钠
图片尺寸225x300
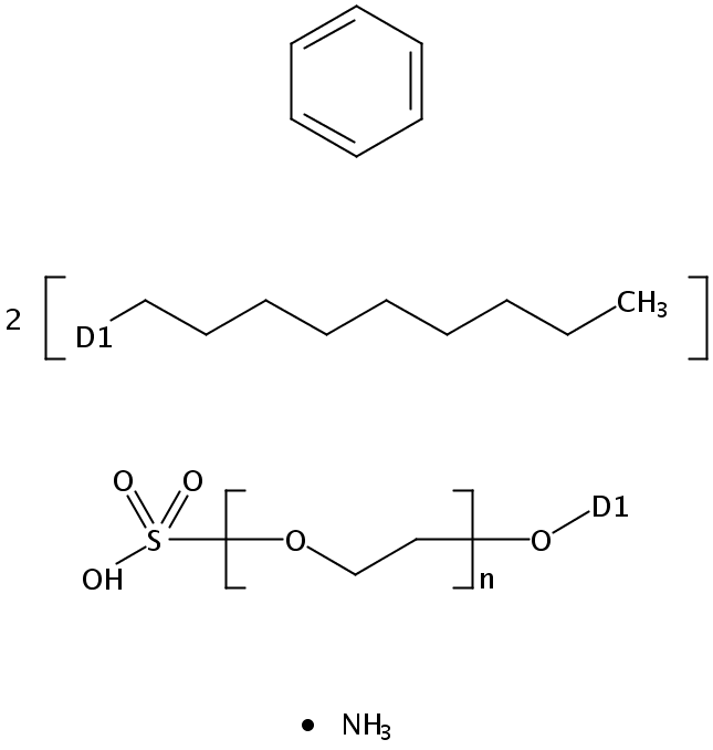
聚(环氧乙烷)-Α-磺酸-Ω-(二壬苯氧基)-铵盐
图片尺寸645x678
allicin
图片尺寸877x465
3环己基氨基丙烷磺酸
图片尺寸1600x1199
2,4-二磺酸基苯基重氮氨基偶氮苯与cd(Ⅱ)的显色反应
图片尺寸1376x1987
2,3,3-三甲基-5-磺酸基-3h-吲哚
图片尺寸268x166