管理学网络图虚线

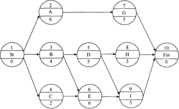
(2)单代号网络图(节点式网络图)——以节点及其编号表示工作,箭线表示
图片尺寸438x728
管理学思维导图
图片尺寸1080x1277
升本干货管理学思维导图
图片尺寸1080x1287
周三多《管理学》第六版全书知识体系框架结构期末复习资料答案
图片尺寸1243x1668
管理学思维导图
图片尺寸1080x1439
网络计划图如图5-5所示,图中标注了完成任务a~h所需的天数,其中虚线
图片尺寸413x172
管理学思维导图
图片尺寸1080x1061
管理学思维导图
图片尺寸1080x1439
周三多管理学思维导图
图片尺寸1080x1439
876管理学计算题题型一:网络图(例1).png
图片尺寸662x982
河南专升本管理学思维导图
图片尺寸1080x1317
管理学-滚动计划法和网络计划法ppt
图片尺寸1080x810
周三多《管理学》第六版全书知识体系框架结构期末复习资料答案
图片尺寸1239x1733
专升本管理学思维导图
图片尺寸1080x1323
管理学思维导图
图片尺寸2911x3264
信息系统项目管理师试题解析:以下是某工程进度网络图,如果因为天气
图片尺寸750x386
《管理学》罗宾斯助记脑图——最佳学习笔记,复习必备,学习必备,考试
图片尺寸2113x834
在双代号网络图中,虚工作仅表示工作之间的先后顺序,用虚线矢箭表示
图片尺寸208x210
建设工程施工管理_二级建造师_建筑工程类) - 上学吧在线考试(手机版)
图片尺寸367x223
最新版管理学思维导图十二
图片尺寸1020x677