箭线图法计算关键路线

箭线绘图法
图片尺寸451x331
箭线下方为持续时间,双箭线为关键线路)(时间单位:天)
图片尺寸407x191
这一 方法用箭线代表活动,而用节点代表活动之间的联系 和相互依赖
图片尺寸1080x810
箭头图模板
图片尺寸984x392
箭线图-路线时间差
图片尺寸420x307
新qc七手法的《箭条图》的做法
图片尺寸640x320
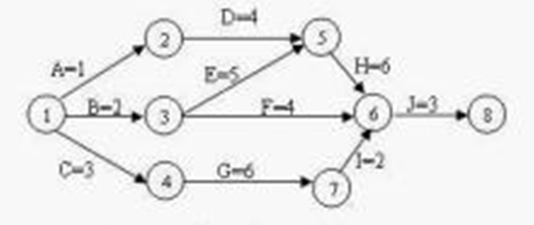
试绘制该工程的箭线式网络图,求出各结点的时间参数并写出关键线路
图片尺寸652x553
第三十四讲:箭线图
图片尺寸681x181
箭线图-路线时间
图片尺寸376x299
土木工程施工 五,网络图的基本类型 1,双代号网络图:又称箭线式网络图
图片尺寸1080x810
项目管理——进度控制,前导图,箭线图 - misli - 博客园
图片尺寸937x414
箭线图示例adm只使用完成—开始依赖关系,所以为了正确定义所有逻辑
图片尺寸1312x876
8,如下图所示,工作箭线上显示了60(自由时差),14(工期).
图片尺寸954x445
箭条图-网络表-甘特图_word文档在线阅读与下载_无忧文档
图片尺寸602x261
双代号网络图箭线右键菜单
图片尺寸564x375
信息系统项目管理师----进度类计算
图片尺寸650x304
箭线图法
图片尺寸1064x450
并在图中标出各项工作的六个时间参数,并用双箭线标明关键线路
图片尺寸507x248
质量管理箭线图实例ppt
图片尺寸1080x810
质量工具之箭线图
图片尺寸497x192