箱线图

箱线图在异常值检测中的使用 由箱线图可以看出,除3班,8班,7班,10班外
图片尺寸1820x1280
快速识别异常值你可能需要箱线图分析
图片尺寸826x620
ggplot2箱线图绘制规范
图片尺寸3000x2100
n种箱线图的画法
图片尺寸396x290
箱线图又称为盒须图, 箱形图(box-plot)又称为盒须图,盒式图或箱线图
图片尺寸1784x1280
分组箱线图保姆级教程 最重要的是数据的录入不要出错哦, 第一步,数据
图片尺寸1619x1280
r语言ggplot2 多线图绘制图例_r语言绘制箱线图示例
图片尺寸1080x622
graphpadprism7绘制分组箱线图boxplot
图片尺寸718x539
画出箱线图r
图片尺寸790x592
分位数与箱线图
图片尺寸743x678
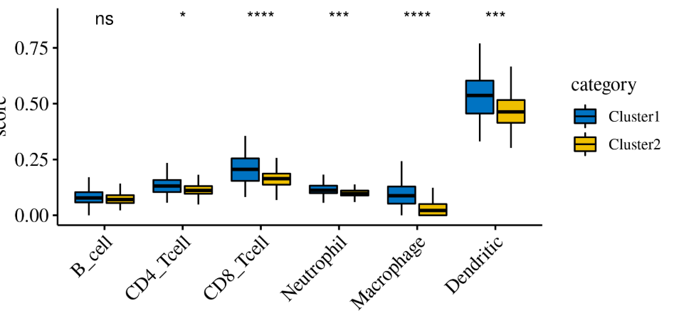
组间差异表达基因箱线图
图片尺寸694x421
教你画双分类变量的箱线图
图片尺寸2400x1754
r绘制箱线图详细过程(包括选择配色,整体和多组间显著性检验,多张图片
图片尺寸1277x798
3-6:4 组的箱线图显示了组间的显著差异
图片尺寸1000x1005
箱线图
图片尺寸900x493
分位数和箱线图
图片尺寸398x658
figdraw6sci文章绘图之箱线图boxplot
图片尺寸713x509
再来解释一下箱线图的指标的含义,看下图离散程度的指标有极差,四分位
图片尺寸664x564
请问这个图如何用r做箱线图以均值和标准误标准差的形式表示多个组合
图片尺寸1344x960
箱线图快速绘制工具
图片尺寸947x447