系统耦合

耦合器是干什么的
图片尺寸640x341
集团耦合
图片尺寸866x553
中国海洋科技-经济-环境系统耦合协调的时空演化
图片尺寸600x441
定向耦合器基础知识ppt
图片尺寸1080x810
美丽中国建设的地理学使命与人地系统耦合路径
图片尺寸729x267
图解模块间7种耦合关系
图片尺寸1021x458
福伊特液力耦合器勺管执行器接线图rhd250-10
图片尺寸500x389
电-气耦合系统框架示意图 fig.
图片尺寸520x502
二,容性耦合串扰:容性耦合产生耦合电流.
图片尺寸852x368
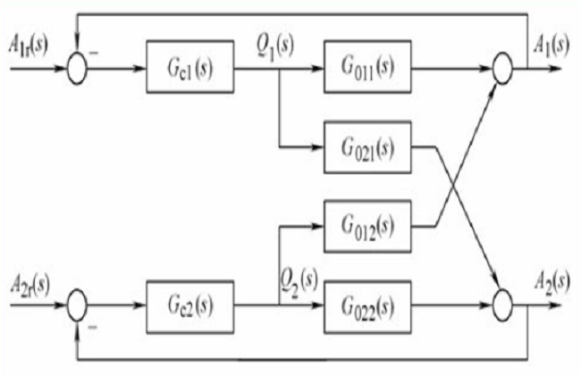
寻找合适的控制规律来消除系统中各控制回路之间的相互耦合关系,使每
图片尺寸650x420
控制耦合
图片尺寸1280x960
复杂繁杂庞杂图解七种代码耦合类型
图片尺寸1080x790
福州大学陈庆彬副教授无线电能传输磁耦合系统的分析与设计
图片尺寸2201x1651
华电学者提出面向多能耦合系统的高维多目标规划方法
图片尺寸1185x739
一种多能源系统同质化耦合建模方法技术方案
图片尺寸1000x397
图15 cotherm耦合fmu模型97案例介绍以一个bms和热管理系统的fmu
图片尺寸1001x718
图3 电感耦合电路模型
图片尺寸600x352
求怎么设置条件 第一次仿电容性耦合
图片尺寸555x364
自动耦合系统
图片尺寸800x800
广汽机电耦合系统(g-mc)的性能分析
图片尺寸1094x964