纳入式

纳入式的doi是什么意思(纳入式) 第1张
图片尺寸600x400
【长谈】纳入式性行为真的有必要吗?-竹子away-en ! ? ~-哔哩哔哩视频
图片尺寸1600x1000
以上体式同样纳入中医"通"的原理,使身体通畅,不再受到"痛"的困扰.
图片尺寸640x766
67100种cp互动姿势参考学好这100式还有什么动作搞不定
图片尺寸580x667
1. 纳入式性行为是男性性行为而非女性 2 - 抖音
图片尺寸750x762
纳入式相接榫头
图片尺寸400x400
耗子头纯娘们版,想起一个能深刻阐释《纳入式性行为》zz意义的案例
图片尺寸690x1765
doc88.com/p-205512129254.html 最高阶非零子式的方法都正确吗?
图片尺寸480x259
2.2《来自煤和石油的两种基本化工原料》课件(新人教版必修2)ppt
图片尺寸1080x810
hdpy_
图片尺寸640x360
2016年高考化学一轮复习 第22讲 有机化合物的分类
图片尺寸1062x807
与杰尼龟老婆共读女太监0414更新在后面
图片尺寸1080x555
3.2.1钠的重要化合物(13版化学全程学习夺冠方略人教版必修1学用)
图片尺寸1107x618
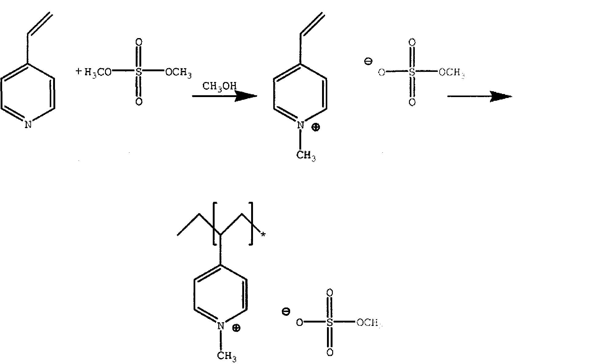
depolarizer
图片尺寸1964x1185
【创新课堂】2014-2015学年高二化学鲁科版选修一同步
图片尺寸1080x810
性教育超话#性教育##女性健康##女性主义#纳入式性行为是男权社会的
图片尺寸690x1026
三方组榫双补丁咬合式拼接小菊组拼接燕尾式榫四方燕尾式接合套环接头
图片尺寸640x644
工作汇报结构化思维2递进式金字塔
图片尺寸1182x611
阴瑜伽真正练的是什么?什么时候练最好?
图片尺寸423x318![在味觉信号传递过程中,trpm5离子通道蛋白放入钠离子 | 参考文献[5]](https://imgs.wantubizhi.com/img/A1A61BAA66193547F3A6DD7D8EE527E9110EF8298D89F0E051978B0F6FFA9CDE2F86BC7D692D6F447AA2A9DBDE53008BCB63A42AC4EB8DBD85D527DB5B0C0AC8EEFE02D67211969A3092FD07EC5ECE6E44F906FE801E6E670112C07CCACE7677)
在味觉信号传递过程中,trpm5离子通道蛋白放入钠离子 | 参考文献[5]
图片尺寸1080x549