组合公式

组合公式
图片尺寸685x515
高中数学之排列组合公式
图片尺寸960x1280
排列组合公式全
图片尺寸920x1302
管理类联考数学常用公式:排列组合
图片尺寸601x315
2.2第1课时组合与组合数公式 学案
图片尺寸893x581
几个常用组合数公式
图片尺寸920x1302
排列组合公式整理
图片尺寸920x1303
排列,组合与二项式定理公式
图片尺寸642x404
排列组合的数学公式
图片尺寸920x1302
公式法初中阅读理解答题模板 技巧满分万能中考课外下册组合公式法 16
图片尺寸800x800
组合数公式
图片尺寸569x432
排列组合公式
图片尺寸920x1302
常用几何图形计算公式
图片尺寸920x1303
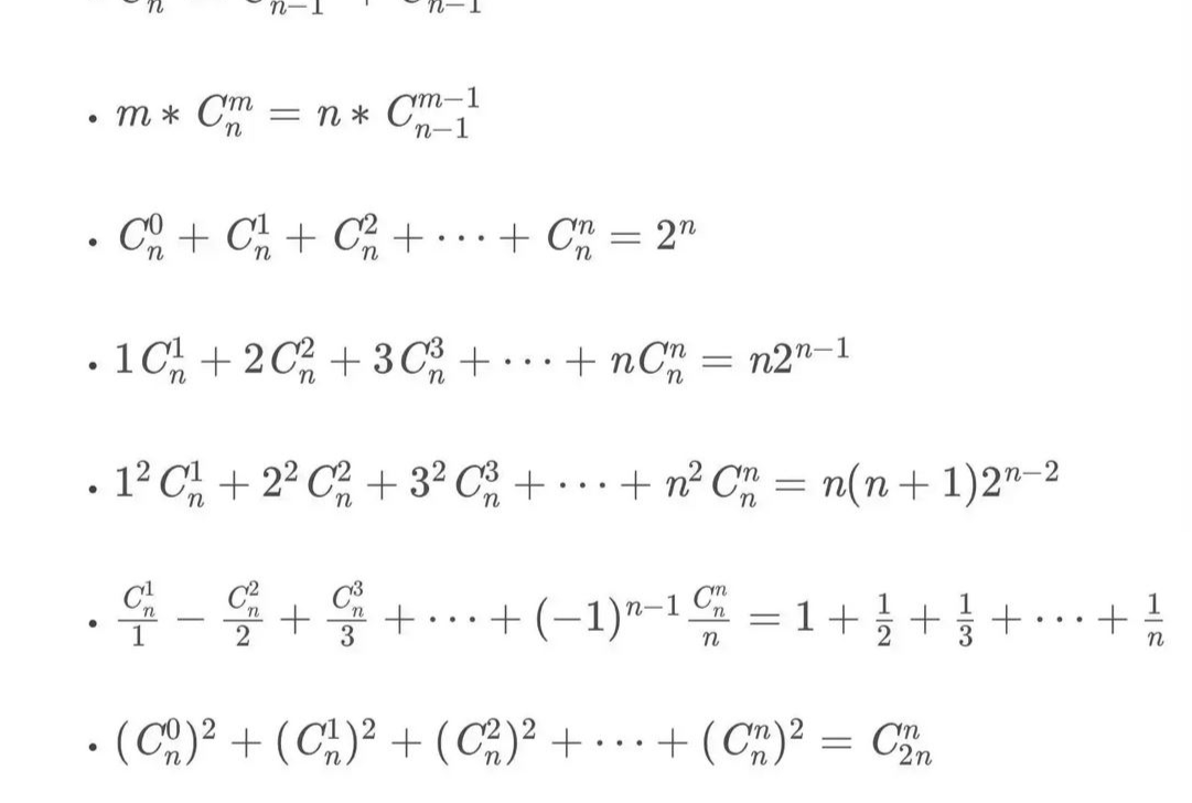
组合数公式
图片尺寸1081x728
排列组合公式全
图片尺寸920x1302
高中数学公式排列组合与概率共1页
图片尺寸920x1302
组合的风险报酬率怎么计算公式 预期报酬率的计算公式
图片尺寸502x208
排列组合公式排列组合计算公式_第1页
图片尺寸920x1303
排列与组合的运算公式
图片尺寸536x424
排列组合cn和an公式
图片尺寸650x398