经典诵读书法作品

典耀中华,赓续文脉——文学与新闻传播学院承办第六届中华经典诵写讲
图片尺寸1280x1280
春花读到秋月,从诗词读到小说,从夜雪初霁读到朝暾夕月,同学们读经典
图片尺寸660x880
第三届中华经典诵写讲"笔墨中国"
图片尺寸500x702
书写宪法作品.#弘扬国学经典文化 #汉字之美 #写字是一种乐 - 抖音
图片尺寸1440x1964
诵读经典诗文及阅读展示
图片尺寸2000x2948
5年级上经典诵读.#小学语文 #每日知识分享 #好书分享 # - 抖音
图片尺寸1778x2577
忻州市康乐小学开展暑期特色作业——书写红色经典 朗诵红色诗词_革命
图片尺寸846x915
古诗词鉴赏.经典古诗词朗诵及书写#少儿硬笔书法 #硬笔练字硬 - 抖音
图片尺寸1544x1170
顺平县教体局举办全国第26届推普周顺平县经典诵读,硬笔书法大赛!
图片尺寸1080x1439
三年级上册经典诵读
图片尺寸1404x1920
腹有诗书气自华,书香墨香能致远 ——西安高级中学
图片尺寸660x477
经典浸润童年,诗书点亮人生———五年级经典诵读课程成果展示
图片尺寸2000x2667
德贤小学"诵读红色经典,书写壮美人生"获奖书法作品展示
图片尺寸2448x3264
第三届中华经典诵写讲"笔墨中国"
图片尺寸1758x3287
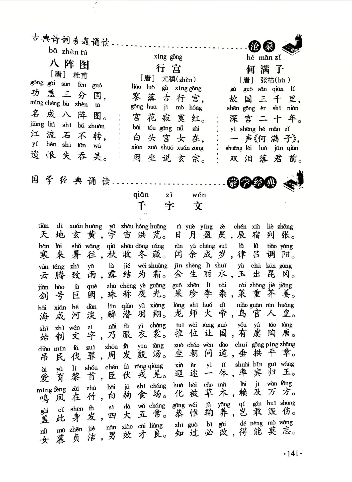
国学经典诵读:《闻官军收河南河北》
图片尺寸640x1464
【读书节61书画阅读大赛】书香润泽心灵 雅言启迪人
图片尺寸1080x794
国学经典诵读:《题西林壁》
图片尺寸640x1289
经典,扬中华文化"活动评比结果出炉|教师|学生组|硬笔书法_网易订阅
图片尺寸660x873
书法作品中,有的苍劲有力,有的飘逸洒脱;绘画作品中,有的细腻入微,有
图片尺寸600x423
德贤小学"诵读红色经典,书写壮美人生"获奖书法作品展示
图片尺寸2448x3264