绝对值函数

研管综初数冲刺复习绝对值函数
图片尺寸567x686
p>绝对值函数的 a target="_blank" href="/item/定义域/7879679"
图片尺寸626x496
p>绝对值函数的 a target="_blank" href="/item/定义域/7879679"
图片尺寸659x413
2018考研管综数学知识点详解之绝对值函数
图片尺寸714x559
1018绝对值最值问题与直线距离的联系
图片尺寸1080x540
绝对值函数
图片尺寸480x377
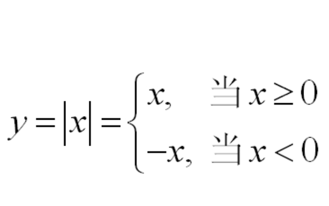
将绝对值函数y=|x|用分段函数表示出来并画出其图形 急求帮帮我啦
图片尺寸879x811
绝对值函数图像举例
图片尺寸640x395
这个绝对值函数的图像是什么呢?怎么话呢?
图片尺寸720x1280
含绝对值的对数函数
图片尺寸920x1302
y等于x 绝对值,y 是x 的函数吗
图片尺寸322x286
函数f(x)=㏒2x的绝对值的图像
图片尺寸500x338
p>绝对值是指一个数在 a target="_blank" href="/item/数轴
图片尺寸446x342
两个绝对值的函数的图象
图片尺寸1080x810
x, x ≥ 0, 解:由绝对值的几何意义,知 y
图片尺寸1080x810
求作y=x的绝对值的图像并结合图示指出函数的最小值
图片尺寸543x525
展开全部 意思是以10为底,x的绝对值的对数 附上图像 向左转 向右转
图片尺寸876x329
作出y=3x-6的绝对值 3x 3的绝对值的函数图像,,并求出函数的最值
图片尺寸921x448
y=x*(x-4的绝对值)的图像怎么画
图片尺寸450x600
数学有关含绝对值的函数图象,在线等
图片尺寸435x383