维恩公式

知道日报
图片尺寸1090x1752
h.jeans,1905) 8 2 3 v kt c 维恩公式(wein, 1
图片尺寸1080x810
维恩位移定律是指的什么?是热力学术语,与英雄联盟没有关系
图片尺寸640x318
经典物理学所遇到的困难——解释实验曲线 1)维恩的半经验公式: 11 m
图片尺寸1080x900
微积分基本公式
图片尺寸920x1302
韦达定理推公式经典
图片尺寸920x1302
微积分公式大全
图片尺寸959x1356
wallis公式
图片尺寸1571x625
微积分基本公式
图片尺寸802x706
微积分公式大全
图片尺寸802x1086
著名公式之一: 维恩公式(1896年) e0 t c e c2 t
图片尺寸1080x810
1 由黑体辐射公式导出维恩位移定律: λmt = b, b = 2.
图片尺寸1080x810
5金属中的自由电子气体 热力学统计物理汪志诚ppt
图片尺寸1080x810
wallis公式
图片尺寸480x388
cubeskills 3*3 wv 公式
图片尺寸816x937![高数微积分公式大全[1]](https://imgs.wantubizhi.com/img/A1A61BAA66193547F3A6DD7D8EE527E90FEDB772B21D44C41D8151803455104444E34647794D364D3F60AE4E2E2D9C71B5180AB6B8816AC9411331667E542DF22BB8A4D5087B7000BFA52FAE7F1E1524E498617D5CC8BD20E51D8AF0E78F7AEF)
高数微积分公式大全[1]
图片尺寸803x1032
(三)普朗克(planck)公式 普朗克分别从瑞利公式和维恩公式求出其能量
图片尺寸1080x810
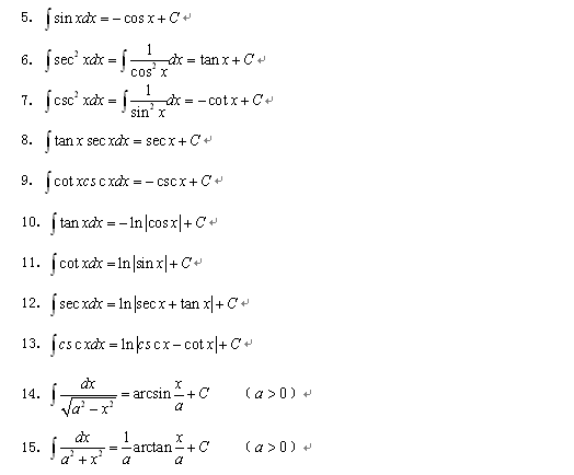
2012考研数学公式大全 基本积分表
图片尺寸601x673
拉马努金恒等式 拉马努金黑洞公式-文化号
图片尺寸524x434
题目是《论维恩光谱方程的完善》,第一次提出了黑体辐射公式
图片尺寸640x483