维生素A的结构式

维生素a
图片尺寸484x300
维生素a结构式
图片尺寸250x250
掌握三点校正法测定维生素a含量的基本原理及校正公式的应用.
图片尺寸812x336
维生素a的结构简式
图片尺寸681x195
三贝中医提醒你身高的生长维生素a很重要
图片尺寸1550x667
分子结构,矢量,维生素a,分离着色,白色背景
图片尺寸1200x722
ch2oh 维生素a
图片尺寸1080x810
分子式:c20h28o2 结构式: 分子量:300.44 cas号:302-79-4 包装
图片尺寸844x339
食品检验与分析 2维生素a,d,e的测定
图片尺寸1080x810
维生素a
图片尺寸592x169
维生素a的介绍ppt课件ppt
图片尺寸920x690
运动营养讲座之维生素a
图片尺寸550x412
维生素a用系统命名法如何命名呢?
图片尺寸472x227
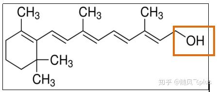
已知维生素a的结构简式如下
图片尺寸415x164
r834645 醋酸维生素a, 50万iu/g
图片尺寸462x180
抗衰三杰之维生素a
图片尺寸447x190
all-trans-anhydro retinol
图片尺寸341x403
母婴 多种维生素增强抵抗力让宝宝更健康哦 14 头条小二 发布于 2017
图片尺寸550x223
维生素a2
图片尺寸605x375
维生素a
图片尺寸600x600