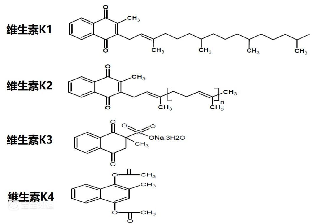
维生素K结构

图7.12 各种形式的维生素k结构
图片尺寸1277x842
关于维生素k的六大误解与真相
图片尺寸1080x759
维生素 k 的结构模型
图片尺寸700x445
维生素k的结构【2】
图片尺寸490x280
你可能用错了去黑眼霜维生素k的种类及结构式维生素k是血液中凝血因子
图片尺寸1852x1050
维生素k的分子结构
图片尺寸900x438
维生素k1,k2,k3的结构式
图片尺寸599x420
了解维生素k及其作用
图片尺寸640x427![[分子结构式][主要用途]治疗药物引起的维生素k缺乏.](https://imgs.wantubizhi.com/img/A1A61BAA66193547F3A6DD7D8EE527E93508FADAF42FFE14412C03B444F89D3933FFC933E07FB04240BEF235C42799344A005DEADDA67C213D67A5AAF5A6C087FE273B8022C6CE029CA45C953A2B7F085C49B28E85F735C36BCA08501BAFCDA5)
[分子结构式][主要用途]治疗药物引起的维生素k缺乏.
图片尺寸985x519
维生素k
图片尺寸488x229
表1 维生素k的种类及其化学结构一起看看它的结构长撒样:维生素k共有
图片尺寸660x808
维生素k是一类含萘醌结构,具有凝血作用的化合物的总成,其具有凝血
图片尺寸441x265
维生素k1cas84800
图片尺寸468x340
维生素k2结构式
图片尺寸250x250
维生素k
图片尺寸430x310
维生素k1结构式
图片尺寸605x375
维生素k2:努力了一生,依然只是一个保健品!
图片尺寸640x267
分子结构:别名:维生素k;甲萘氢醌;einecs:201-564-2cas registry
图片尺寸300x300
雨滴玻璃上维生素k的结构模型
图片尺寸700x463
维生素 k2(35)结构式
图片尺寸250x250