羟基

羟基结构及性质
图片尺寸800x600
能介绍酚羟基的结构和性质吗?
图片尺寸310x211
什么是什么是酚羟基?
图片尺寸776x512
5mol二氯甲烷含有多少分子数? ---oh(羟基)
图片尺寸294x212
羟基官能团的性质ppt
图片尺寸1080x810
酸酸羟基丁酸酸分子结构上白色孤立照片
图片尺寸691x300
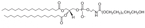
生物素聚乙二醇羟基,生物素-peg-羟基,可以用作生物分子标记和分离的
图片尺寸600x196
羟基的保护基ppt
图片尺寸1080x810
每天学个机理用自由基反应脱羟基
图片尺寸660x532
每天学个机理用自由基反应脱羟基
图片尺寸555x337
ho-peg-dspe,dspe-peg-hydroxyl,磷脂peg羟基 可用于脂质体制剂_分子
图片尺寸500x99
苯基,酚羟基,酮基,芳醚结构,吡啶环是怎样的
图片尺寸381x205
这种羟基被称为金属羟基,可以接受质子产生正位点,也可以提供质子在
图片尺寸423x246
每天学个机理用自由基反应脱羟基
图片尺寸599x190
酚是羟基直接连在芳环上的化合物 酚的官能团又称酚羟基 oh oh oh
图片尺寸1080x810
oh,sas-peg-hydroxyl 是一种异双官能团修饰剂_分子量_蛋白质_羟基
图片尺寸478x200
氢气医学氢气被认为具有抗氧化活性能选择性中和羟基自由基
图片尺寸640x329
2-羟基乙基异丙基硫醚
图片尺寸268x268
sharpless不对称双羟基化反应_chem_进行_氧化
图片尺寸1080x458
它离我们很近,女性需多注意|羟基|丁酸|人工合成|化学合成_网易订阅
图片尺寸640x332