羧基

p>羧基(carboxy),是 a target="_blank" href="/item/有机化学/3491"
图片尺寸1136x758
羧基结构式
图片尺寸640x341
羧基
图片尺寸268x215
羧酸的结构,分类和命名 羧酸的结构 o r c oh 羧基 r cooh 羧基 羲後
图片尺寸1080x810
请问羧基和醛基还原性谁大谁小
图片尺寸720x577
复习: 烃的衍生物 结构式 乙醇 乙醛 官能团 羟基 醛基 羧基 乙酸
图片尺寸1080x810
plapegcoohplapeg123344510k聚乳酸聚乙二醇羧基
图片尺寸527x333
1 羧酸的结构,命名和分类 1 结构: 羧基碳sp2杂化--极性 键 125p m
图片尺寸1080x810
6羧基罗丹明6g6cr6g180144687常被用作追踪染剂
图片尺寸304x203
Ⅵ羧基
图片尺寸1080x810
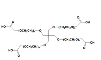
4 arm peg cooh mw:2000四臂聚乙二醇羧基
图片尺寸357x212
cas1628790408cyanine7近红外一区荧光染料cy7激发发射波长羧基cy7
图片尺寸571x271
混合酸酐法酸酐是两个羧基脱水后形成的化合物,其能够在水溶液中长期
图片尺寸1055x435
5羧基cooh-cy5荧光_成像_标记_生物
图片尺寸558x391
在水溶液中,其羧基释放出一个质子而产生乳酸根离子ch sub>3 /sub>ch
图片尺寸600x478
游离的氨基和羧基是什么意思-爱问教育培训
图片尺寸570x228
aladdin阿拉丁三辛酸甘油酯羧基13c3t1178495gcas号65402553丰度99a
图片尺寸600x600
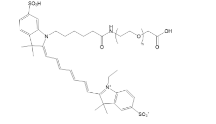
花氰荧光染料cyanine7-聚乙二醇-羧基,cy7-peg-cooh,有详细检测数据
图片尺寸427x246
羧基图片
图片尺寸360x300
科研试剂材料简介plgacooh聚丙交酯乙交脂羧基
图片尺寸370x145