聚乙二醇结构式图片

p>聚乙二醇是一种高分子聚合物,化学式是ho(ch sub>2 /sub>ch sub>2
图片尺寸989x659
聚乙二醇pluronic peg8000
图片尺寸574x395
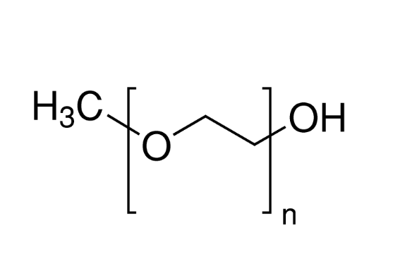
聚乙二醇
图片尺寸800x800
三元乙丙橡胶配方设计要点(二)
图片尺寸642x292
聚乙二醇
图片尺寸365x365
神奇的聚乙二醇 | 科学公园
图片尺寸371x497
聚乙二醇二丙烯酸酯
图片尺寸616x410
聚乙二醇丁醚
图片尺寸500x500
聚乙二醇十六烷基醚,9004-95-9,结构式
图片尺寸419x467
叠氮四聚乙二醇琥珀酰亚胺丙酸酯 - 上海芃圣生物科技有限公司
图片尺寸614x238
vh032-二聚乙二醇-甲氧基-boc, 2247480-66-4, 结构式
图片尺寸2134x1205
α,ω-二氨基聚乙二醇,h2n-peg-nh2
图片尺寸500x500
甲氧基聚乙二醇聚赖氨酸
图片尺寸3150x1575
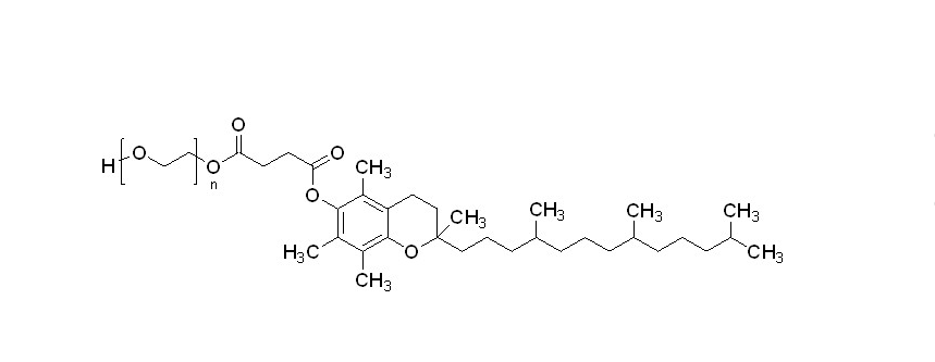
维生素e聚乙二醇琥珀酸酯
图片尺寸859x333
而且聚乙二醇兼有很多优良的性质:温和性,润滑性和使皮肤润湿,柔软.
图片尺寸812x654
p>聚乙二醇辛基苯基醚是一种有机高分子化合物,结构式为c sub>14
图片尺寸977x651
1000,2000,3400,5000,10000,20000(可按需定制)中文名称:丙炔聚乙二醇
图片尺寸496x207
双(巯基乙酸)乙二醇
图片尺寸393x269
聚乙二醇月桂酸酯英文名:polyethylene glycol monolaurate n≈10cas
图片尺寸395x216
英文名称:boc-peg-nh2,boc-nh-peg-amine 中文名称:叔丁酯聚乙二醇
图片尺寸3311x1280